Skip to main content
Aller à la page d’accueil de la Commission européenne (s’ouvre dans une nouvelle fenêtre)
français français
CORDIS - Résultats de la recherche de l’UE
CORDIS

Interplay between genetic determinants of glycaemia, type 2 diabetes and cardiovascular disease in interaction with dietary and lifestyle factors

Periodic Reporting for period 2 - INTERPLAY (Interplay between genetic determinants of glycaemia, type 2 diabetes and cardiovascular disease in interaction with dietary and lifestyle factors)

Période du rapport: 2019-02-18 au 2020-02-17

Type 2 diabetes is a global public health crisis comprising a major, growing cause of morbidity and premature death. Efforts to prevent worldwide diabetes and its disabling and life-threatening complications, such as coronary artery diseases are now at the forefront of global public health concerns. The disease is a consequence of obesogenic lifestyles, acting upon the backdrop of genetic predisposition, and the scaling number of individuals affected by diabetes over the past few decades is more likely linked to rapid lifestyle transition rather than inherited changes. However, adverse lifestyles do not always cause diabetes, and healthy lifestyles are not ubiquitously protective. Why people develop diabetes? Why individuals with diabetes experience different clinical complications? What is the role of glycaemia on and related complications? Can we use data generated during the last decade to better understand diabetes and to ultimately better prevent, treat, or cure the disease?

Our research proposal took advantage of genetic data to gain insights into the complex physiological relationship between blood glucose and the risk of coronary artery disease. We provided evidence that increased glucose is a causal factor leading to increased risk of cardiovascular disease, and that this increased risk is independent from the risk conferred by other processes that are also present in the context of diabetes. These findings support the notion that close monitoring of glycemia, especially among individuals at increased genetic risk, might be a beneficial intervention to reduce cardiovascular events.

Results from our research program represent now the most comprehensive evidence on the interplay between genetic and lifestyle factors in diabetes. We showed that both genetic predisposition and dietary quality were each associated with the development of type 2 diabetes, and that a lifestyle intervention improves cardiometabolic risk factors regardless of genetic risk. These results indicate that genetic risk alone does not seem to explain variable response to diabetes preventive interventions. Notwithstanding, the important public health message these findings convey: future studies, integrating genetics and other biological markers such as epigenomics, metabolomics, and metagenomics, are likely to be necessary to facilitate the integration of genomics information into clinical and public health practice. The time to conduct such integrative studies has come, and Dr. Merino is well positioned to work on complementary multi-omics studies given his gained expertise.
Over the last years, Dr. Merino, conducted the proposed work to address the main research objectives, dissemination, and outreach activities detailed in the research application. The management and monitoring of the project has been carried in a very efficient-manner to ensure that the project is not delayed.

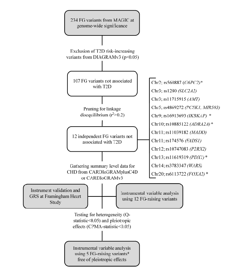
For the work proposed in Aim 1, we have provided evidence that genetically-driven hyperglycemia raises the risk of coronary artery disease, and this increased risk seems to be separate from the risk conferred by type 2 diabetes as a whole. We replicated findings among participants from the Framingham Heart Study. This work led to a pivotal publication in Diabetes Care, the 2017 Rachmiel Levine-Arthur Riggs Young Investigator Scientific Achievement Award.

For the work proposed in Aim 2 and Aim 3, a manuscript was accepted for publication in Diabetes. In this study we included 3,000 participants from the Diabetes Prevention Program (DPP) and showed that an intensive lifestyle intervention improves cardiometabolic risk factors regardless of genetic risk. These results support that a lifestyle interventions can be employed to reduce the burden of metabolic diseases across the full spectrum of genetic susceptibility.

Aim 4 was designed to expand findings from the DPP. To address this question, Dr. Merino leveraged his epidemiological skills and led a highly innovative project to investigate whether dietary quality interacts with a genetic susceptibility on the risk of diabetes. In this study, including genetic and dietary information from more 105,000 individuals with a median follow up of 12 years, he and his team showed that both genetic predisposition and dietary fat quality increase the risk of type 2 diabetes without evidence of significant interactions. The relevance of this study was that, for the first time, reliable data on the interplay between genetics and diet quality suggested that both genetics and diet quality are associated with the risk of the disease. Findings from this study were published in The British Medical Journal, were presented at several national and international conferences, and are the foundation for some of the most recent presentations he gave at invited symposiums, seminars, and general divulgation talks.

Finally, a new line of research has emerged from the proposed Aim 5 to accommodate the need to provide mechanistic insights from variants interacting with lifestyle components. We conducted a genome-wide association study in ~300,000 participants and identified 26 genomic regions associated with the preference for carbohydrate, protein, or fat. Identified signals map to different brain tissues and are enriched for genes expressed in specific neuronal populations. Findings were presented at national and international meetings and divulgated to the general population.

As part of networking and dissemination activities, Dr. Merino has continued making available his research through social-media platforms such as Twitter. As a Marie Skłodowska-Curie Fellow, Dr. Merino’s participated in the researcher’s night and is member of the North America Chapter of the Marie Curie Alumni Association.
In diabetes, there is an urgent need to better understand disease heterogeneity, clinical trajectories, and related comorbidities to advance the prevention and treatment of the disease.

This research program has contributed to the data generated during the last decade to better understand biological variability. Our results are crucial to identify new venues for complex disease prevention, treatment, and cure. Fully understanding of the genetic and molecular impact of diverse dietary components and lifestyle behaviours in different genetic backgrounds may facilitate the development of nutritional remedies for diabetes and related metabolic complications, as well as preventive strategies for curbing the diabetes epidemic. Results of the present project offer a call for action in group-specific cardiovascular risk testing genetic campaigns and improved treatment strategies at the EU level, allowing for precision medicine implementation.

With regard to long-term public health impact and economy, the translation of knowledge between academic researchers and the food industry has transformative potential. The dissemination of results obtained in the present research program to food manufacturers or biotech companies is leading to the modification of foods especially designed for individuals with a less favourable genetic profile for diabetes and cardiovascular disease. This is opening new market opportunities and will increase the competitiveness and boosting the innovative capacity of European health-related industries. Moreover, our findings provide evidence-based quantitative data to improve current clinical guidelines for cardiovascular prevention and treatment.
Flowchart of the methodological approach for Aim 1
Aim2-3 poster presentation
Mon livret 0 0