Skip to main content
Vai all'homepage della Commissione europea (si apre in una nuova finestra)
italiano italiano
CORDIS - Risultati della ricerca dell’UE
CORDIS

Philosophy of Pharmacology: Safety, Statistical standards and Evidence Amalgamation

Periodic Reporting for period 4 - PhilPharm (Philosophy of Pharmacology: Safety, Statistical standards and Evidence Amalgamation)

Periodo di rendicontazione: 2019-01-01 al 2020-03-31

Collecting and evaluating evidence on pharmaceutical safety is a central problem in health-care practice. Adverse Drug Reactions (ADRs) are responsible for a heavy economic and social burden (Edwards and Lundkvist 2017) and constitute a vulnerable point for the health system, a key ethical problem and a top-priority (also in the current Covid-19 pandemic: Chandler et al. 2020). In view of these considerations, the European regulation for pharmacovigilance practice (Directive 2010/84/EU; Regulation (EU) No 1235/2010) has put a special emphasis on joint efforts for an information-based approach to pharmaceutical risk assessment. The related guidelines encourage the integration of information coming from different sources of safety signals. In the U.S. the Congress approved Pub.L. 114 - 255 (21st Century Cures Act) in 2016, thereby allowing companies to provide “data summaries” and “real world evidence” such as observational studies, insurance claims data, patient input, and anecdotal data rather than exclusively relying on random clinical trials (RCTs) data, for the purpose of drug approval and evaluation. Yet the methodological bases for implementing such policies are shaky, in that causal assessment of ADRs is still parasitic on the (statistical) methods developed to test drug efficacy — focused on hypothesis testing, rather than detection, and therefore inadequate to manage uncertainty.
The PhilPharm project addressed this problem by developing a theoretical framework for probabilistic confirmation of causal hypotheses on the basis of all the available evidence on safety for medical treatments: “E-Synthesis”, along three tightly interconnected strands of research — numbers refer to the papers listed in the electronic submission system; letters to forthcoming papers, listed in part 1.7 of the “Project Achievements” section.
I. The elaboration of a theoretical framework that responds to the following objectives:
1) foundational analysis on statistical/causal inference in pharmacosurveillance;
2) theoretical analysis of standards of drug evaluation;
3) a unified epistemic framework, within which different kinds of evidence can be combined and used for decision:
E-Synthesis: 4, 9, 20, 21, 23, 35.
II. Formal analysis of scientific inference, with a focus on higher order dimensions of evidence: reliability (13, 28, 39, 42, forthcoming: d), variety (10, 41, 42, 47 and forthcoming: a, b, j), coherence (4, 27, 10, 46); as well as decision-theoretic and methodological issues (1, 2, 3, 4, 9, 14); a series of papers analysing foundational aspects of scientific inference from the perspective logics of variable inclusion (22, 24, 25, 26, 27).
III. Formal analysis of strategic dimensions of scientific interactions in the sciences, with a special focus on evidence disclosure in medical and pharmacological settings (forthcoming: e, i).
The project objectives have been jointly pursued by developing a Bayesian framework for evidence synthesis and causal assessment in pharmacovigilance, drawing on the philosophical literature on causation, foundations of statistics, formal epistemology, and game theory.
In (4) we developed a theoretical framework where any kind of safety signal can contribute to the confirmation or disconfirmation of hypothesized causal associations between drug and adverse reactions, along possibly different lines of evidence (e.g. observational vs. experimental, or population level vs. clinical or biochemical level), exploiting their joint contribution to causal inference. Progess towards concrete implementations can be found in 9, 20, 21, 23, 35.
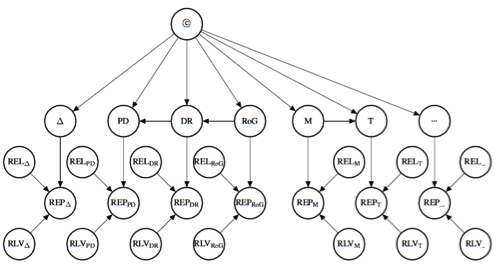
E-Synthesis is to date the unique attempt to systematically synthetize heterogenous evidence in pharmacology. The framework aims to probabilistically measure the hypothesis of a causal connection between a given pharmaceutical treatment and a possible (side-)effect, in a given population for a given causal model. This is especially important in pharmacosurveillance because, whereas evaluating intended (beneficial) effects of interventions may rely on data pooling (meta-analyses) and systematic reviews of homogeneous studies, risk detection and discovery is characterized by 1) relative scarcity, 2) heterogeneity, and 3) “fragility” of data concerning the safety of health technologies.

We developed the framework within an intense collaboration with Drug Agencies across Europe. Such collaboration officially kicked off with the conference: “Drug Safety, Probabilistic Causal Assessment, and Evidence Synthesis” (Munich on 27-28 of January 2017) and prosecuted through various exchange visits of the project team and organisation of dedicated symposia. We collaborated especially with the Uppsala Monitoring Centre –WHO, the Austrian Drug Agency AGES, the Italian AIFA, and the German BfArM). I visited the European Agency (EMA) on 24th November 2016, the French Agency (ANSM) on 28th June 2017 and on 6th July 2018, , the German Agency (BfArM) on 11 July 2017, the Austrian Agency (AGES) on 30th August 2017 and on 2-3 July 2018, the Uppsala Monitoring Center on 23-24 2018, and the Italian Agency (AIFA) on 30th September 2019.
Our results have been communicated at several conferences and workshops: 137 events, among which 8 keynote speeches, and 8 expert opinions given by the PI.
The conferences organised at both Host Institutions enhanced intense collaboration in the research environment and substantially contributed to shaping our research.
From an inferential point of view, the framework exploits the coherence and variety of evidence in order to obtain a probabilistic assessment of the hypothesis of causation between drug and (side-) effect. By breaking down the different dimensions of evidence (strength, relevance, and reliability), E-Synthesis allows them to be explicitly tracked in the inferential process, in that it makes it possible to parcel out the contribution of each dimension. This also allows one to incorporate a higher order perspective on evidential support by effectively embedding these various epistemic dimensions into one inferential tool (see also line of research II).
In the thread of research devoted to the development and analysis of game theoretic models representing the interactions of agents engaged in scientific research, we focused on a sequential Bayesian persuasion game — a version of the Principle-Agent model — that represents the structure of interaction between a pharmaceutical company and a regulatory agency.
Within this thread of research, we also studied the effects of double blind and open review protocols on scientific publication market (forthcoming: i). The innovative aspect of the model is that it not only explores the incentives of authors, but also the incentives of reviewers, and thus offers some new insights into the structure of incentives which shapes the behaviour of researchers. (under review for Dynamic Games and Applications - DGAA).
The E-Synthesis framework. The Bayesian network represents the hypothesis of causal associatio
“Section” of E-Synthesis, where the REL and RLV nodes are “exploded” into various indicato
Il mio fascicolo 0 0