Skip to main content
Weiter zur Homepage der Europäischen Kommission (öffnet in neuem Fenster)
Deutsch Deutsch
CORDIS - Forschungsergebnisse der EU
CORDIS

Probing mechanisms of pathogen effector recognition by plant Resistance proteins to elevate defence gene activation

Periodic Reporting for period 1 - PERFECTION (Probing mechanisms of pathogen effector recognition by plant Resistance proteins to elevate defence gene activation)

Berichtszeitraum: 2016-04-01 bis 2018-03-31

Plant diseases can lead to up to 40% crop losses every year. To help provide sustainable solutions for reducing the diseases, we need to improve our mechanistic understanding of how plant immunity has been switched ON.
Resistance (R) proteins, a group of immune receptors that can confer resistance to a broad spectrum of pathogens, are one of the most important genetic components in plant immunity. The first Resistance gene was cloned 25 years ago, but the detailed mechanism by which activation of Resistance protein upon perceiving pathogenic molecules leads to reprogramming of defense genes remains largely unknown.
In sum, my PERFECTION project aimed to address this knowledge gap by answering several important questions: 1) can I find the composition of or novel components in plant immunity mediated by R proteins, by generating novel bio-materials? 2)whether the R proteins regulate downstream defense genes directly? 3)can I use sequencing methods to understand the gene regulation mechanisms of how defense genes are regulated? The importance of this project can be addressed by developing new tools for studying the mechanisms of how plant R proteins signal to downstream defense genes; generating new metadata as an open-access resource for the wider community, thereby promoting studies of defense gene regulation in plant immunity; and generating novel bioinformatic tools for data analysis.
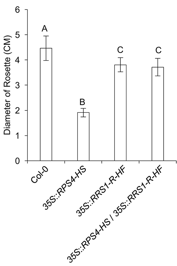
"To understand the plant immune receptor protein complex, I generated two transgenic lines. One contains a pair of over-accumulating Resistance (R) proteins without causing autoimmunity. It leads to a genetic validation of interactive relationships of a paired R proteins (1). It also showed paired R proteins require a balanced expression to achieve a fine-tuned function. Another line contains an additional inducible pathogenic protein, recognized by the corresponding R proteins. This line is currently used by me and two PhD students, who are co-supervised by me and Prof Jonathan Jones. One student Bruno has used this line to generate a genome-wide gene profile to further understand what genes are induced by the effector-triggered immunity (ETI). I have used the biochemical approach in this line to investigate the components within the active R protein complex. In addition, I thought why not take the advantage of this line using genetics? I designed a forward genetic screen and generated a mutagenesis population of M2. This work has been successfully progressed by an international rotation PhD program, in which another student Joanna has taken over as the main part of her PhD project. Currently, we have isolated 50 M3 mutant plants showing good phenotypes that we can progress further. This work together with Bruno’s started with my Obj. 1, and I will be the co-corresponding author in both cases.
For Obj. 2 and 3, because the technology has been improved for the chromatin profile, I decided to change the method to a cost-effective method, ATAC-seq. To increase the sequencing resolution, I have also developed a sequence capture method for focused studies on genes of interests, such as genes activated by ETI. The results along with the method will be submitted for publication soon. In addition, I have learned how to perform large-scale data analysis and how to apply statistics. I have developed a user-friendly software together with my colleague from the bioinformatics team (2). This data analysis pipeline can be applied to any quantitative analysis of capture-seq data.
My proposed work has covered many perspectives of plant immunity, including plant and microbe interactions in relation to available resources, such as nutrients and water in the plant (3); and programmed cell death, which is known as apoptosis or necrosis in mammals (4). Regarding those topics in relation to ETI and their downstream gene activations, I was invited to write two commentaries to provide insights and perspectives towards the future research directions.
Excitingly, when I was studying how plant transcription factors perceive signals from the R proteins, and how they activate defense genes, I isolated a mutant that can compromise partially ETI but can enhance the R protein activated cell death. This has uncoupled bacterial resistance from cell death. Based on this and other unpublished results, I applied and won a 3-year BBSRC future leader fellowship grant. The main question I am trying to address is: what sits in the ‘black box’ between the activation of R proteins and the rapid expression changes of the downstream defense genes? Answers will lead us to a holistic understanding of plant immunity, which in turn will enable the search for effective and sustainable solutions to plant diseases, especially to economically important crops. Winning another 3-year grant enables me to continue to work on the important objectives I have initiated during my MSCA, leads me to become a future leader in my research field, and more importantly, will enable me to get closer to the real solutions of these big questions.
Reference
(1) SU Huh#, V Cevik#, P Ding* et al. (2017) PLoS Pathogens
(2) P Ding#£, JDG Jones£. (2017) Developmental Cell
(3) RK Shrestha#, P Ding#, et al. (2018) GigaScience
(4) P Ding#£, H Guo, JDG Jones£. (2018) Cell Research
(#first author, *second author, £corresponding author)"
Using a sequence capture, I have developed expression profiles of defense genes. This dataset contains different conditions and plant mutants related to early time points of ETI so that I am able to study how the changes in defense genes are quantitatively and qualitatively regulated by ETI.
To understand how much I have learnt from the model plant Arabidopsis, can be applied to crops, I will continue my work on crop species tomato and barley, so that I could advance our understanding of how generally plant reallocate resources for defence transcription, and how we could achieve durable disease resistance without sacrificing the crop yields.
Upon finishing, I have learned how R proteins function in recognition to pathogen effectors, and how they can be used as bioengineering targets to achieve durable disease resistance in crops. I have also learned how to design, perform next-generation sequencing, and how to analyze the large-scale dataset. I have established new collaborations with scientists from the UK, US, Europe, and China, which enables me to enlarge the impacts of my work established from MSCA.
I got publications in high impact journals during MSCA. In addition, the unpublished results have helped me to win a competitive grant for establishing my own research niche.
My work has been recognized by many different societies. I have been invited to give talks at many international conferences (http://meetings.embo.org/event/17-signalling(öffnet in neuem Fenster) http://english.fafu.edu.cn/a5/19/c5972a173337/page.htm(öffnet in neuem Fenster)).
The impact of my work is not limited to publications, because the policy of being open access allows me to share my data through the public repository.
The career development plan scheme of this project allows me to identify my career mentor internally and externally, which helps me to move forward as an independent research group leader.
With the funding support, I was able to present my work to the general public, such as the lecture to the A-level students at the college, JIC 50-year open day and the Norwich Science Festivals.
Balanced Resistance protein expression can rescue auto-immunity
Quantification and statistics of the plant size measurement
Mein Booklet 0 0