Skip to main content
Vai all'homepage della Commissione europea (si apre in una nuova finestra)
italiano italiano
CORDIS - Risultati della ricerca dell’UE
CORDIS

Epigenetics of Canine Domestication from the Upper Paleolithic onwards

Periodic Reporting for period 1 - EpiCDomestic (Epigenetics of Canine Domestication from the Upper Paleolithic onwards)

Periodo di rendicontazione: 2017-03-01 al 2019-02-28

In genomics, ‘epigenomics’ (or ‘epigenetics’) refers to a phenomenon whereby the function and activity of a genome is altered or modified but without changes to the underlying DNA sequence. It is what allows cells to differentiate their function – i.e. a liver cell and a brain cell have the same DNA, but do very different things. One of the ways in which epigenomic modifications occur is through a process called cytosine methylation, which is a chemical ‘addition’ to a cytosine base). These modifications act as blockers, which prevent the cellular machinery from performing the process which converts DNA-to-RNA-to-protein. In life, these epigenomic modifications are controlled by a complex network of interactions between DNA and RNA. They are also modified in response to environmental stress, and can be passed down between generations. Therefore they are sometimes seen as a ‘driver’ for evolutionary change.

We wanted to see if these modifications were detectable in ancient and archaeological samples, and if we could detect meaningful genomic activity related to them. We chose dogs as a model, because their evolution is becoming more and more understood, and because over one quarter of EU households own a dog, and so the project is both relatable and important to society in terms of breeding programmes etc. Further, their status as the first domesticate allows to us explore whether domestication and epigenomics go hand in hand, since domestication is an evolutionary process in itself. To do this, we sequenced DNA and RNA from dogs and wolves from a range of geographical locations, from the Pleisotocene (14,000 years old) up to around 100 years old. We aimed to compare tissues, individuals, times and locations.

We also wanted to see if RNA could be sequenced from ancient mammalian remains, for both proof-of-principle and to confirm the epigenomic data. Despite the advances in sequencing DNA from ancient contexts, the general instability of RNA has discouraged researchers from attempting to sequence it, especially in enzyme-rich mammalian tissues which are thought to break down RNA quickly. There has been some success in sequencing RNA from plants seeds which are adapted for this sort of preservation, and so we decided to try with some ancient dog tissues.
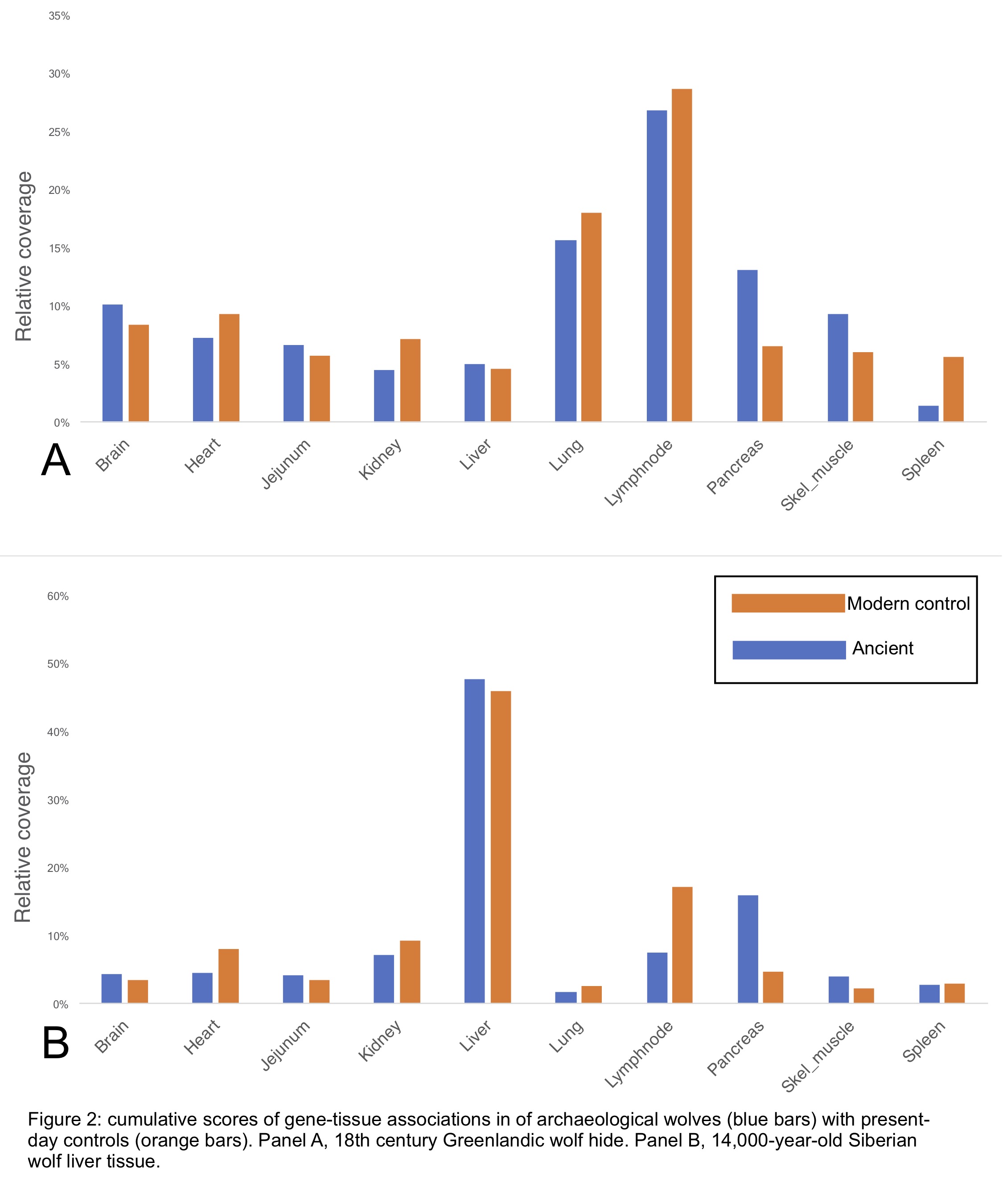
We sequenced ancient RNA from four tissue types of over eight ancient individuals, including a permafrost-preserved wolf puppy of over 14,000 years old. We found that not only was ancient RNA recoverable and verifiable after such lengthy timespans, but is intact enough to exhibit tissue-specific transcription profiles – that is to say the genes being transcribed and the amount by which they are transcribed, make sense in a biological context. We also had similar success with an early 20th century Greenlandic wolf skin, which was preserved only at room temperature. Conversely, we found that samples from a warm, southern European context exhibited virtually complete destruction of RNA, despite successes in sequencing DNA from the same samples.

For the epigenomic aspect, we have sequenced full or partial epigenomes from 36 samples, representing 33 individuals with some individuals having multiple tissues being sequenced and including those from which RNA transcriptomes were sequenced. We built on existing pipelines to specifically pull out information on ‘promotor regions’ of genes, which are most prone to DNA methylation in the epigenomic context. Our early results suggest an inverse correlation between transcription and gene / promotor methylation, which is a technical milestone in ancient DNA / RNA studies. We also found tentative evidence of potential domestication-associated genes showing the biggest differences between individuals and we anticipate publishing these findings soon.

We also looked in to another method to recover epigenomic information, called Hi-C or 3D genome sequencing. Other aspects of epigenomics include chromatin structure: the folds and turns of DNA when tightly packed or wound together in chromatin, giving information as to the physical (or actual), as opposed to sequential, proximity of genes to each other. From this structural information, it is possible to gain insight into their potential interactions. It has been assumed that the breakdown of DNA would render this impossible in ancient samples, but the long-term survival of proteins to which DNA binds makes this possible. We developed laboratory methods to adapt the Hi-C process to ancient samples including canids, with promising preliminary results.
The epigenomic sequencing of 33 individuals is the largest sample size of this kind yet. The potential impact of this kind of work is twofold; from a scientific perspective, it opens up the possibility of large, high sample-number genome-size datasets being used for purposes other than population genomics and allowing investigation of large-scale trends in evolution. The wider socio-economic implications of being able to unravel epigenomes in ancient samples include the possibility of an increased understanding of genomic modifications during life, their causes, and their effects.

The discovery that ancient RNA can survive in animal tissues for millennia represents a new milestone in biomolecular archaeology. Since ancient DNA and ancient proteins are known to survive in extremely old samples (over 700,000 years old in some cases), we believe that where recoverable, ancient RNA could become a missing link in unravelling the central dogma in ancient organisms. It also has the potential to give further insight into epigenomic modification and gene regulation, and consequently give insight into the effects of palaeoclimatic change in the context of plant and animal evolution. Additionally, the fact that many pathogens facing humans, plants, and animals today have RNA genomes may be of interest to the medical and veterinarian fields; obtaining ancestral versions of these pathogens may help assess their evolutionary pathways and thus help their treatment.
Gene-tissue associations between ancient and modern samples
Gene expression versus gene body methylation
General overview of the project
Il mio fascicolo 0 0