Skip to main content
Ir a la página de inicio de la Comisión Europea (se abrirá en una nueva ventana)
español español
CORDIS - Resultados de investigaciones de la UE
CORDIS

Physical Activity, Inflammation and Respiratory health: an integrative analysis of biological, behavioural and environmental determinants

Periodic Reporting for period 1 - PAIR (Physical Activity, Inflammation and Respiratory health: an integrative analysis of biological, behavioural and environmental determinants)

Período documentado: 2016-03-01 hasta 2018-02-28

Physical inactivity is the fourth leading risk factor for global mortality and is strongly linked to major non-communicable diseases. At the time the PAIR project was funded, the evidence linking physical activity to respiratory health, such as lung function and chronic obstructive pulmonary disease, was weak, possibly as only a limited number of high-quality studies existed. The few available seemed to suggest that systemic inflammation may be one mechanism by which regular physical activity can improve respiratory health. Additional high-quality large studies were needed to test this hypothesis.

The PAIR (Physical Activity, Inflammation and Respiratory health: an integrative analysis of biological, behavioural and environmental determinants) project aimed to fill this gap by investigating the effects of regular physical activity on lung function in a large sample of adults participating in the European Community Respiratory Health Survey. Overall, PAIR aimed to strengthen the evidence of a causal association between physical activity and lung function, and investigate potential underlying biological mechanisms.

The three main conclusions of PAIR are

• European adults who engage in regular vigorous physical activity (enough to make them out of breath or sweaty) have higher lung function, and this is especially true among current smokers.

• Long-term air pollution levels observed in Western Europe don't negate the benefits of physical activity on lung function, which supports the promotion of outdoor activities and active transport. However, as the benefits of physical activity were reduced in never-smokers living in areas with very high air pollution levels, efforts at controlling air pollution levels are justified.

• C-reactive protein (a commonly used biomarker for systemic inflammation) does not appear to have a causal role in the association between regular physical activity and higher lung function. Future studies are required to better understand the mechanistic pathways.
The PAIR project had four research objectives:

Objective 1: To estimate the longitudinal association between regular physical activity and lung function decline.

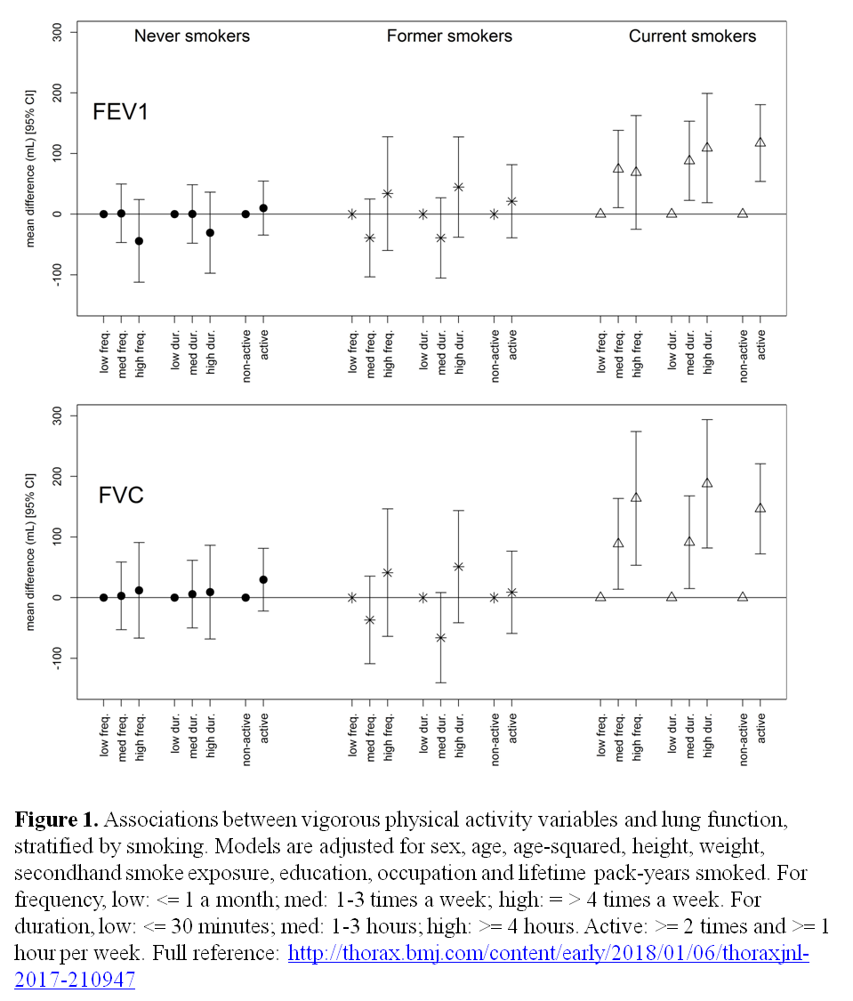
Using data from 3912 adults participating in the European Community Respiratory Health Survey, we found that increased leisure-time vigorous physical activity was associated with higher lung function, especially among current smokers. This observation supports the existence of an inflammation-related biological mechanism and highlights the importance of physical activity in current smokers who are at higher risk (due to smoking) for poor lung function. We also found that participants who were active at the end of the study (by becoming or remaining active) had significantly higher lung function than those consistently inactive, suggesting that maintaining one's physical activity is necessary to achieve maximal health benefits. No association between vigorous physical activity and lung function decline was observed, a result that requires further investigation. These results were presented at several conferences, including the 2016 European Respiratory Society Congress. A manuscript was published in Thorax (Fuertes et al. 2018) (http://thorax.bmj.com/content/early/2018/01/06/thoraxjnl-2017-210947(se abrirá en una nueva ventana)). Figure 1 here provided summarizes these findings.

Objective 2: To assess the potential mediating role of systemic inflammation in the relationship between physical activity and lung function decline.

We subsequently examined whether C-reactive protein, a biomarker for systemic inflammation, lies in the mechanistic pathway between physical activity and lung function using data on 2347 adults. However, despite the existence of a biological hypothesis and supporting scientific literature, we did not find any evidence to suggest that this was true. Other markers of inflammation and potential mechanistic pathways should be examined in future work. This work was submitted to the 2018 European Respiratory Society congress and is currently being written into a scientific publication.

Objective 3: To investigate whether biological (body mass index, co-existing chronic inflammatory diseases) and behavioural (diet, smoking) factors related to systemic inflammation may modify the link between physical activity and lung function decline.

Whether the association between physical activity and lung function differs across groups with different body-mass indices, chronic inflammatory diseases, diets and smoking behaviours was assessed. Current smokers were the only group in which associations were found to be especially strong. The results were incorporated into the recently published manuscript in which the results for Objective 1 were published (Fuertes et al. 2018).

Objective 4: To investigate whether environmental factors (air pollution, greenness, ultraviolet radiation) related to systemic inflammation may modify the link between physical activity and lung function decline.

We examined whether the association between physical activity and lung function differs by residential air pollution levels and greenness levels. We found that regular physical activity benefits lung function, largely irrespective of residential air pollution levels. Our data did however suggest that the beneficial effects of physical activity on lung function may be reduced in never-smokers living in areas with high air pollution levels. No differences in the associations were apparent across different greenness levels. These results were presented at the 2017 European Respiratory Society Congress and are currently under scientific peer-review.
The results from PAIR have important public health impacts. First and foremost, these data inform and support public health messages that promote increasing and maintaining regular physical activity as a method of preserving respiratory health in middle-age adults. Our results consistently show that the beneficial effects of physical activity are strongest for current smokers who are at an increased risk of rapid lung function decline.

The analyses demonstrating that air pollution does not strongly negate the benefits of physical activity on lung function are also highly relevant, as they suggest that physical activity should be encouraged regardless of air pollution levels typically found in Western Europe. This is an important finding as many people live in urban settings, many forms of physical activity occur outdoors and active transport is increasingly promoted as a method of reducing traffic-related air pollution levels in urban settings and physical inactivity. However, as our data do suggest that the beneficial effects of physical activity on lung function may be reduced in certain subgroups living in high air pollution settings, caution is warranted. If proven true, policies aimed at controlling air pollution levels would ensure maximal benefit from physical activity promotion policies.

We are currently incorporating PAIR results into an on-line COPD risk prediction tool (the foreseen end-product of a larger Horizon2020 research initiative (the “Aging Lungs in European Cohorts” project)). This tool will be available to researchers and the public, and aims to improve decision making and promote behavioural change in relation to respiratory health. PAIR results are also featured on the website for the broader ALEC initiative (https://www.alecstudy.org/(se abrirá en una nueva ventana)).
Summary figure
Mi folleto 0 0