Skip to main content
Ir a la página de inicio de la Comisión Europea (se abrirá en una nueva ventana)
español español
CORDIS - Resultados de investigaciones de la UE
CORDIS

Development of methods for deriving optimized shapes of morphing structures considering both aerodynamic performances and specific mechanical morphing boundary conditions

Periodic Reporting for period 2 - OPTIMOrph (Development of methods for deriving optimized shapes ofmorphing structures considering both aerodynamic performancesand specific mechanical morphing boundary conditions)

Período documentado: 2018-08-01 hasta 2019-06-30

Morphing wings are one of the most promising enabling technologies for enhancing aircraft efficiency, since they make it possible to adapt the wing shape for several flight conditions, thus enabling better aerodynamic performance throughout the whole flight and hence reduced fuel consumption. However, large shape change concepts usually have associated design penalties such as added weight or complexity.
In traditional aircraft design, aerodynamic and structural designs are usually handled separately, and the design is iterated until an optimum is converged upon. On the contrary, the ability to develop reliable methods for shape optimization of morphing wings considering both aerodynamic performance and specific mechanical morphing boundary conditions appears as a promising alternative to the currently implemented sequential design methodologies. This is addressed in OPTIMOrph. The specific objectives of the project were:
1. Identification and implementation of a reliable methodology for integrated optimization of morphing structures, coupling aerodynamic efficiency and mechanical limitations/constraints deriving from morphing concepts and materials.
2. Application of the developed methodology to an actual morphing wing leading edge.
3. Integration of knowledge on actual morphing airfoil concepts for fully integrated morphing leading edge optimization.
In OPTIMOrph, a multi-disciplinary, multi-objective, constrained optimization methodology was implemented able to produce a series of optimal wing sections fully compliant with material limitations, geometric bounds, performance requirements. This procedure was validated by application to a case study indicated by TL and proved to be successful in identifying solutions featuring the best achievable aerodynamic performance under different operating points, which could be effectively matched by an actuation mechanism applying the necessary forces to an optimised, variable-stiffness skin structure.
1. Multi-objective, multi-point aerodynamic optimization at a high-lift condition and at a cruise condition. The maximisation of the maximum lift coefficient and the simultaneous maximisation of aerodynamic efficiency L/D at 70% of maximum Cl were selected as objectives for the high-lift condition. The maximisation of L/D ratio at fixed angle of attack was selected as objective for the cruise condition. A baseline shape was selected featuring a droop nose, in order to facilitate the achievement of shapes optimized for different flight conditions from a single starting shape. The optimization at high lift conditions provided a 1.8% increase in CL,max and simultaneous 0.3% increase in L/D at 0.7*CL,max with respect to the new baseline. At cruise conditions, a 2.8% increase of L/D and simultaneous 2.7% increase in CL was achieved.
2. Extension of the aerodynamic optimization to an airfoil with a trailing edge flap; 3% increase in CL,max and simultaneous 0.5% increase in L/D at 0.7*CL,max wrt the baseline with flap was achieved in high-lift conditions, while a 2.7% increase of L/D and simultaneous 2.4% increase in CL was achieved in cruise conditions.
3. Structural optimisation to reach target shapes from the aerodynamic analysis, using both 2D and 3D structural models of the airfoil. The structural properties of the 2D model were determined by the extension stiffness (EA) and the bending stiffness (EI). The influence of the stringers was also considered by increasing the EI value for the corresponding beam elements. The structural optimization was a two level optimisation, in which the first level was employed to find the optimal stiffness distribution matching the aerodynamic target shapes, while in the second level the optimal stiffness was achieved using practical structural components. The results from optimization proved that a single target shape can be achieved with good accuracy from its baseline shape and also an approach to reach two different target shapes was demonstrated on a number of test points.
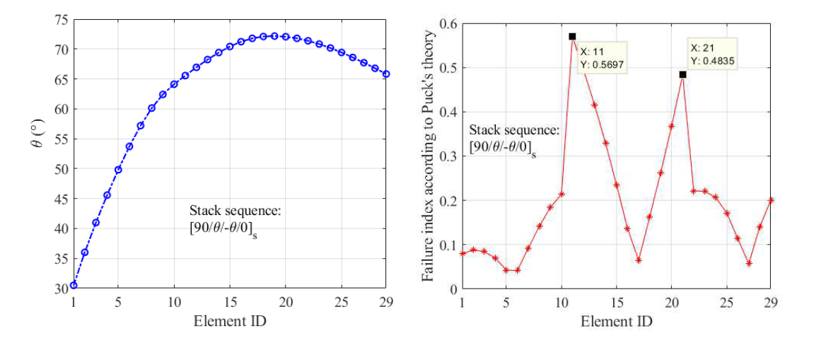
4. Sizing of the Leading Edge Composite; the achieved stiffness distribution from the first level structural optimization was sized, with the aim of finding the optimal stack sequence in each element.
5. Enhancement of airfoil composite skin design; the skin was tailored based on a variable stiffness composite. The potential of reducing the actuation forces was investigated and Puck’s failure model was included in the model. Required actuation forces can be reduced if the stiffness of the leading edge skin is varied.
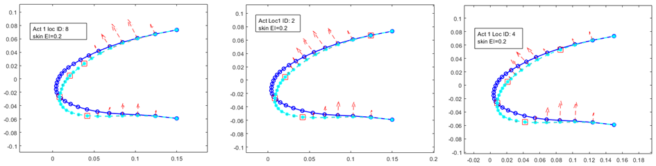
6. Quantification of aeroelastic effects on the optimised shapes: the developed strategy is effective in ensuring that the structural shapes match the targets and that aero/structural effects are low and do not degrade aerodynamic performance. It was found that it is possible to keep the EI range low by placing actuation locations in the region on the suction side where pressure loads are higher. Also, adding more actuation points seemed beneficial for the shape error.The influence on aerodynamic performance of limit on maximum curvature variation was also studied, highlighting a low sensitivity when it is chosen among standard values for typical composite materials used for morphing applications.
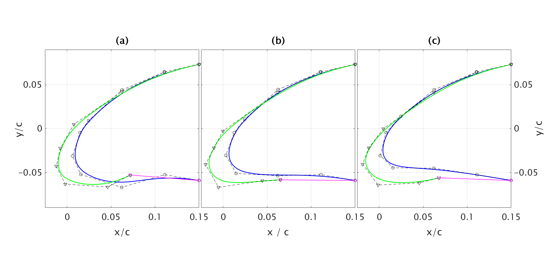
7. Analysis and optimization of an unconventional morphing concept proposed by the TL, where the lower edge of flexible skin is connected to the front spar by a deployable hatch, in order to provide additional deformability, showed that higher stall Cl can be obtained.

As part of dissemination/communication/exploitation activities, two peer-reviewed papers were published in specialised journals and a conference paper was presented. Also, the developed routines both for aerodynamic and structural optimization were delivered to the TL for further exploitation.
Progress beyond the state of the art:
• Highly integrated multi-disciplinary, multi-objective, aerodynamic/structural optimization of morphing wings, including simultaneous consideration of multiple flight conditions.
• Accurate aerodynamic and structural analyses coupled with the optimization thanks to reduced CPU time required for convergence.
• Parametric definition of the wing skin suitable for system level optimization, leading to a consistent parametric definition of the aerodynamic surface.
• Decoupling internal mechanism design from the performance assessment: the optimisation is focused on the interface between the structure and the aerodynamics, with definition of the skin decoupled from the internal mechanism.
Potential impacts:
• contribution to environmental objectives:
o Fuel consumption reduction through both drag reduction and weight saving;
o Reduced CO2/NOx emissions (-5 to -10%);
o Lower noise;
• improved passenger comfort and safety; efficient morphing enabling technologies for more ecologic and economic wings can also potentially reduce travel costs;
improved mobility and decreased congestion by increasing aircraft time efficiency and agility;
• design, development and testing of innovative component technologies regarding materials, actuation systems and relevant electronic control;
• exploitation of enabling technologies for regional A/C, business aircraft and small air vehicles, in which the significance of the structural size of the wing per unit payload is high;
• improved relations among stakeholders, increasing know-how and resulting in new jobs creation.
Flowchart of work carried out in OPTIMOrph
Effect of number of actuation points on the optimized deformed shape
Free lower edge: Pareto optimal airfoils, (a) Best L/D. (b) Best compromise, (c) Best Cl
Optimized airfoil with flap at high-lift conditions and comparison with the baseline.
First four buckling mode shapes whenleading edge is subject to the actuation forces
Optimized airfoils for TO/LDG and cruise conditions and comparison with baseline shape.
Flow chart of the aero-structural coupling
First level optimisation with variable stiffness: (a) Optimised shape, (b) stiffness distribution
Mach number of free lower edge concept (c,d) and comparison with baseline (b)
Effects of number and position of actuator points on aero/structural coupling
Model deformation of the 2-m span model for the aerodynamic loads at different boundary conditions
Second level optimisation with variable stiffness: (a) Optimised lamina angle θ, (b) failure index
Deformation due to aerodynamic loads for different actuation distributions
Adopted single B-Spline parameterization technique and example of morphed shape.
Workflow of the structural optimisation scheme.
Mi folleto 0 0