Skip to main content
Weiter zur Homepage der Europäischen Kommission (öffnet in neuem Fenster)
Deutsch Deutsch
CORDIS - Forschungsergebnisse der EU
CORDIS

Evaluation of the efficacy and of the antiviral activity of T-705 (favipiravir) during Ebola virus infection in non-human primates humans

Periodic Reporting for period 3 - REACTION (Evaluation of the efficacy and of the antiviral activity of T-705 (favipiravir) duringEbola virus infection in non-human primates humans)

Berichtszeitraum: 2016-11-01 bis 2017-10-31

The Ebola outbreak in West Africa was the largest and deadliest the world has ever seen. In September 2014, the number of Ebola Virus Disease (EVD) cases exceeded the total of all cases from previous known outbreaks. On Sept 4-5 2014, the WHO gathered expertise on experimental therapies and vaccines and their role in containing the EVD outbreak in West Africa. During this consultation, experts identified several therapeutic and vaccine interventions that should be the focus of priority evaluation. Among these candidates is the existing antiviral drug Favipiravir (FAV), that has proven activity against many RNA viruses in vivo and in vitro including Ebola virus (EBOV). The current crisis requires both an immediate response to treat patients and prevent the further spread of the epidemic, as well as long term commitment in the complex sociocultural context. REACTION! will address both needs.
The overall objectives of REACTION!:
• Deliver evidence for the effective and safe use of FAV for the treatment and prevention of EVD in patients through a human Phase 2b trial with Ebola infected patients;
• Deliver additional scientific data on the tolerance, optimal dose and administration timings of FAV in non-human primates infected with EBV to optimize use of FAV in the current and for further outbreaks;
• To assure successful application of FAV in a large group of Ebola patients directly after this project if the drug shows efficacy;
• A platform of translational research on Ebola in West Africa, including European and African researchers and technicians from various fields, and anticipate future studies that will have to be done after our trial is finished;
• Train and educate local aid professionals and the community to ensure social mobilization and community engagement.
The secondary objectives are: to assess the efficacy of FAV in decreasing plasma RNA and infectious loads; to assess the tolerance of the drug; and to describe the evolution of viral subpopulations of EBOV (including the analysis of mutations potentially associated with antiviral resistance) using deep sequencing approaches.
The REACTION! Project was divided into 5 scientific work packages, supported by one further work package around dissemination, management and coordination.
Overall, the conclusions of the action were that there was a good tolerance of FAV and the relationship with the local communities as well as the NGOs has been excellent. Further research is necessary to better understand of FAV pharmacokinetics as well as testing of higher doses relevant for the EBOV. The REACTION! Consortium has also published extensively – with no less than 25 project related publications. Work continues beyond the lifetime of the project focusing on research and engagement has now moved into further prevention of the EBOV.
The main objective of the REACTION! project is to provide rapid evidence of FAV anti-Ebola efficacy in reducing mortality and Ebola viral load in humans with EVD. We initiated the JIKI trial, a trial in a response to the emergency in Guinea, aimed to assess the efficacy of FAV in reducing mortality in humans with EVD in Guinea. The first experiments of WP3 and WP4 provided robust PK/efficacy information to design the therapeutic protocols for this JIKI trial. Over the study-period from December 2014 to April 2015 we recruited more than 100 patients in 4 EVD treatment centers. During the -trial WP1, in addition to providing medical aid where required, collected data on viral load, mortality, tolerability and procedures related to standard-of-care. Partners of WP2 in turn put effort into increasing overall community acceptability of clinical research in this emergency and described how to turn experiences into practical tools for next outbreaks. Results of the JIKI trial revealed (1) that FAV has encouraging tolerability. (2) that low Ct values have a high prognostic value and (3) that FAV efficacy cannot yet be concluded upon. It is recommended that baseline Ct values should be used to systematically stratify analyses of drug trial in EVD. Further it is recommended to further investigate FAV monotherapy in patients with medium to high viremia. The experience of JIKI taught us that clinical research can be integrated into standard care towards evaluation of EVD-specific therapies and it even improves healthcare. Still, we recognize that there is a need for recognition of the community, though in general the local community shows good acceptability of vaccine trials. Still, it was observed that survivors and caregivers in EVD affected regions were ostracized; a huge problem after the Ebola epidemic. To this end we highly recommend to include a community mobilization strategy in clinical research in emergency situations. After the JIKI trial ended (April 2015), WP3 and WP4, performed their work by treating EVD-infected and uninfected Non Human Primates (NHP) with inoculum doses FAV to determine effective dose and collected samples for virology, genomics, biochemistry, haematology and PK studies. The work packages worked closely together and achieved the following results (1) a NHP model to analyse virus diversity by NGS in infected untreated NHPs (2) doses in the range of 150-180mg/kg were shown to significantly improve survival time and survival rate, and reduce viral replication in NHP infected by EBOV (3) a PK model relevant for analysing PK of FAV in EVD and other viruses (MARV, ZIKV, LAV, YFV). We recommend to evaluate the tolerance of higher doses FAV in patients.
Our results are published in no less than 25 book chapters/scientific publications. In the years during and following the JIKI-trial, we have disseminated our work at international conferences. Our expertise in clinical trials in emergency situation is called upon in many follow-up emergency trials.
The JIKI trial was the first to evaluate a specific anti-EVD treatment, and is, to our knowledge, the largest that has been performed in EVD to date. This trial presented many challenges from inception to the final analysis which have been met pragmatically. The results of the study, as well as the challenges that were encountered, provide useful information for future clinical research in EVD.
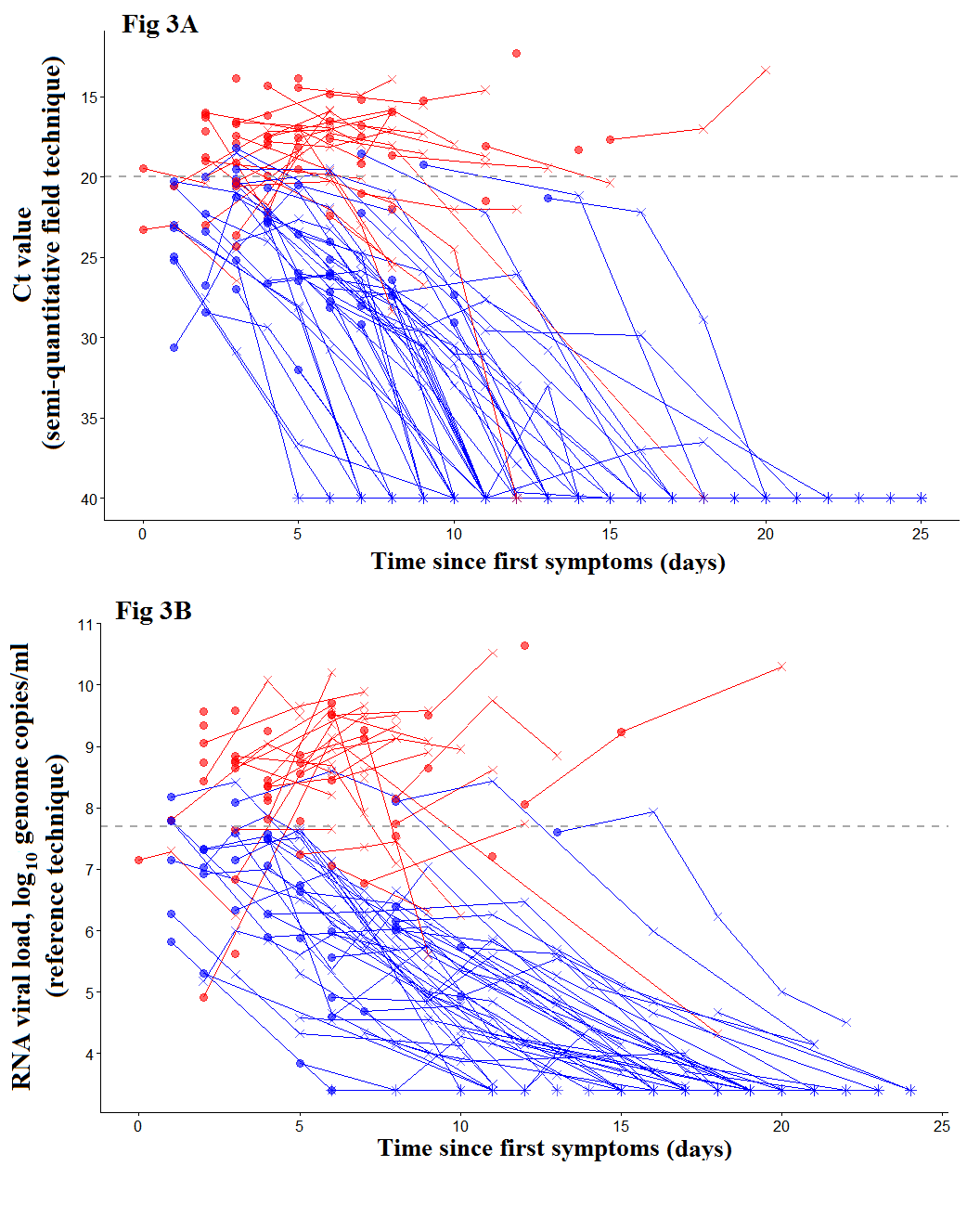
Whilst the results of the FAV clinical trial were shown not to be conclusive, it has been very important to show the effect of FAV on the viral replication in patients with a Ct≥20 or a viral load below 108 genome copies/ml. The JIKI trial, performed in an international emergency situation, was unrandomized and provided immediate care to patients with EVD; it realized improved care for Ebola patients through the clinical trial, and improved broader scientific literacy.
In future studies, further trials should be powered, to show that monotherapy with FAV decreases mortality by at least 30%. It may also be of interest to evaluate higher doses than used in the JIKI trial as well as investigating possible combination therapies.
Other initiatives have been started to continue research on treatment of EVD in patients. Additionally, the trial team has contributed actively to the epidemiologic investigations of the last clusters of EVD beyond the epidemic in Guinea - including the FORCE, PREVAC and PREVAIL II trials.
Real-time PCR images of Ct value & viral load set out versus time.
This figure shows the timeline of the trial and growth in participants in the trial per site.
Logo of the REACTION project
This figure shows the Project's Consortium and different phases of the project.
Figure showing the locations where ETU treatment camps were located.
Mein Booklet 0 0