Skip to main content
Weiter zur Homepage der Europäischen Kommission (öffnet in neuem Fenster)
Deutsch Deutsch
CORDIS - Forschungsergebnisse der EU
CORDIS

Origins of Alzheimer's disease across the life-course

Periodic Reporting for period 4 - ORACLE (Origins of Alzheimer's disease across the life-course)

Berichtszeitraum: 2021-03-01 bis 2022-02-28

The origins of Alzheimer's disease (AD) remain elusive. The long pre-clinical phase of AD is universally recognized, and is characterized by accumulating brain pathology and concomitant loss of cognitive abilities. However, it is not known when predisposition for AD first develops nor when the very first signs and symptoms become discernable. It is thought that early-life developmental factors as well as adult-life risk factors for a large part determine an individual's risk of developing AD. In this regard, an essential role is played by the 'reserve' capacity of the brain. The concept of reserve was posited to explain individual differences in susceptibility to brain pathology. The underlying notion is that reserve is built up in early life and acts as buffer against adverse risk factors later in life. Persons who have built up a larger reserve can longer withstand the adverse effects of accumulating brain pathology and therefore have a lower risk of AD. Figure 1 depicts four hypothetical trajectories of reserve across the life-span. However, the exact trajectories as well as their determinants remain poorly understood.

In ORACLE, I aim to unravel the origins of Alzheimer's Disease (AD) by studying reserve across the entire life-span: from in utero to end of life. I will make use of two large population-based cohort studies that together capture the entire lifespan: 1) the Generation R Study which follows a birth cohort of children en their middle aged parents and 2) the Rotterdam Study which is a cohort study of middle aged and elderly participants. In total, nearly 40000 persons contribute to these two studies.
The underlying hypothesis of my project is that etiologic factors of AD exert their effect on the risk of AD during the entire life-span, through buildup and loss of reserve. Such life-course approach that captures the entire life-span will be unique worldwide and constitutes truly ground-breaking research to unravel the earliest origins of AD. Based on the overall aim, I have specified three objectives in ORACLE:
Objective 1) To study trajectories of reserve across the entire lifespan.
Objective 2) To investigate factors that shape reserve in early life.
Objective 3) To investigate factors that determine onset and early loss of reserve.
The first 30 months of ORACLE were spent to robustly set-up the data-collection part of this project and to perform the first set of analyses pertaining to the various objectives.

The following major milestones can be reported:
- I purchased and installed the electronic walkway (i.e. GAITRite) to measure gait patterns in children and adults (Generation R).
- I implemented new MRI-sequences in both studies to measure perfusion of the brain.
- In summer 2017, I successfully initiated MRI-scanning, gait assessment and cognitive testing of parents in Generation R

The following major deliverables and results can be reported:
- A total of 1040 parents have been scheduled for MRI, cognitive testing and gait assessment. We are on schedule to finish this part of the data collection by end of 2019 / early 2020.
- The full set of 2000 children with perfusion-MRI and gait assessment has been completed.
- The full set of 2000 persons from the Rotterdam Study with perfusion-MRI measurement has been completed.

The following major findings can be reported:
- We have demonstrated life-course trajectories of the circulation, especially the small vessels. We found that arterioles and venules have their largest diameter in childhood and from that point onwards start decreasing in size (Figure 2). In other words, there seems no 'developmental' phase in childhood towards larger arterioles. Furthermore, we found that the narrowing of the small vessels is paralleled by an increase in blood pressure, especially in mid-life.
- We studied how the association between blood pressure and cognition changes over the life-course. We found that in children there is a very weak link between diastolic blood pressure and cognition. In contrast, in a middle-aged and elderly population this link is more solid and present for both diastolic and systolic blood pressure.
- We have shown that markers of maximum brain reserve, i.e. intracranial volume, and maximum cognitive reserve, i.e. education, both relate to the risk of Alzheimer. However, this effect strongly attenuates when taking into account brain size and cognitive function later in life. It seems thus, that the effect of degeneration is stronger than the effect of reserve.
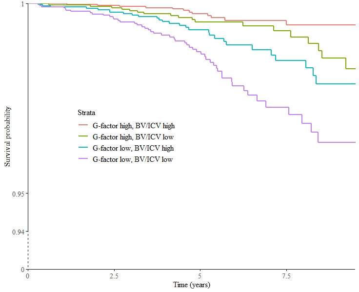
- We found a strong interaction effect between brain size and cognitive functioning, indicating that both structure and function of the brain are important aspects and show synergy in maintaining brain health (Figure 3).
In ORACLE, I will investigate the origins of AD across the entire life-span: from fetal life in utero to end of life. Hereto, I am compiling a life-course cohort-study that consists of three separate population-based samples that together cover the entire life-span. Such life-course approach using a combined cohort that captures the entire life-span is worldwide unique and comprises truly ground-breaking research aimed at understanding reserve in order to unravel the earliest origins of AD. Whereas current studies still use age-limits, in ORACLE I will not be bound by - arbitrary - age-ranges, but instead will take the next step by studying the entire life-span. I will study reserve not only using conventional markers, but also approach reserve from innovative angles not used hitherto. For instance, markers that transcend the classic distinction of brain and cognitive reserve, such as connectivity markers, form an integral part of ORACLE. Moreover, I will move beyond the boundaries of conventional cognitive reserve by including non-cognitive brain function, e.g. gait, in my research.
Results from ORACLE will provide a comprehensive and multidimensional understanding of the early-life predisposition and mid-life early origins of AD. These findings will form the basis for future targeted intervention and prevention studies as well as individual risk stratification.
Figure 3: Synergistic effect of brain reserve and cognitive reserve on AD risk
Figure 2: Lifecourse trajectories of retinal arteriolar diameter
Figure 1: Conceptual framework of reserve across the lifecourse
Mein Booklet 0 0