Skip to main content
Vai all'homepage della Commissione europea (si apre in una nuova finestra)
italiano italiano
CORDIS - Risultati della ricerca dell’UE
CORDIS

Detection, simulation, modelling and loading of thunderstorm outflows to design wind-safer and cost-efficient structures

Periodic Reporting for period 3 - THUNDERR (Detection, simulation, modelling and loading of thunderstorm outflows to design wind-safer and cost-efficient structures)

Periodo di rendicontazione: 2020-09-01 al 2021-10-31

The safety and sustainability of the built environment with regard to natural actions are primary challenges for our society. Wind is the most destructive natural phenomenon, hence evaluating and predicting its actions properly is crucial for designing in a safer and more cost-efficient way.
Europe and many countries in the world are exposed to cyclones and thunderstorms. Cyclones are known since the 1920s, their actions on constructions were framed since the 1960s, and engineering still uses these models. Thunderstorms are complex and devastating phenomena that result in actions often more intense than the cyclonic ones (Fig 05).
Despite this awareness and a huge amount of research in this field, there is no model of thunderstorms and their actions similar to that established over half a century ago for cyclones. This occurs because their complexity makes it difficult to set realistic and simple models; their short duration and small size limit available measures; there is a gap between atmospheric sciences and wind engineering.
This is a shortcoming, as it gives rise to unsafe and/or overly expensive works. The unsafety of small and medium-height structures is pointed out by their frequent damage and collapse in thunderstorm days. The excessive cost of tall buildings in thunderstorm areas is testified by the absence of collapses, since wind speed due to thunderstorms is maximum at the ground.
The presence in Genoa of a leading wind engineering group with interdisciplinary skill in atmospheric sciences and structural mechanics, the creation of a unique wind monitoring network, the existence of new laboratories to simulate large-scale thunderstorms, CFD developments and a huge network of international co-operations are epochal conditions to overcome these limits and project wind science into a new era.
THUNDERR is an acronym of THUNDERstorm that expresses its Roar. It detects thunderstorms to create a dataset of records and weather scenarios, to conduct unprecedented laboratory tests and CFD simulations, to formulate a thunderstorm model for both atmospheric sciences and structural design, to make buildings safer and sustainable.
THUNDERR (Fig 01) originated from two previous EU projects that created a wide wind monitoring network producing an extensive amount of transient wind speed records associated to thunderstorms, pursuing three main Objectives.
Objective I aims at formulating a novel model of thunderstorm outflows by means of thunderstorm detection (WP1), analysis (WP2) and representation (WP3).
WP 1. The existing monitoring network (Task A, Fig 02) was enhanced by an innovative LiDAR scanner (Fig 08) to measure the wind speed up to 14 km. Sub-datasets were created (Task B) to separate different events (Fig 03). Links between thunderstorm records and weather scenarios were identified (Fig 09).
WP 2. A comparison of thunderstorm records, wind tunnel tests (Fig 04), CFD simulations and weather scenarios led to formulate a comprehensive representation of downbursts. Signal records (Task C) were decomposed into samples whose statistical properties were analyzed. A directional decomposition strategy captures outflow shifts (Fig 10). The evolution of the wind speed profile (Fig 11) was carried out using LiDAR profilers. Extensive wind tunnel tests (Task D) at WindEEE Dome (Fig. 12) reproduced thunderstorm outflows. URANS and LES simulations (Fig 13) (Task E) were validated by full-scale and laboratory tests. A link between wind engineering and atmospheric sciences (Task F) was pursued, reconstructing the weather scenario associated to measured thunderstorms. A damage survey after an intense storm traced damage and losses involved (Task G).
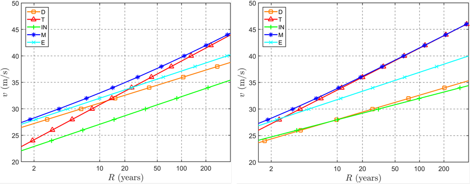
WP 3. Thunderstorm modelling (Task H) combines turbulence models, field measures, wind-tunnel tests and CFD simulations. It takes into account stationary downdraft, translation speed and background flow (Fig 14). Extreme wind speed statistics (Task J) confirms that thunderstorms are the main events for return periods above 10 years (Fig 15). A simulator able to reproduce the non-stationary non-Gaussian flow with given parameters have been developed (Task K).
Objective II aims at formulating simple and physically realistic methods to evaluate actions on structures by means of structural analysis (WP4) and impact on constructions (WP5).
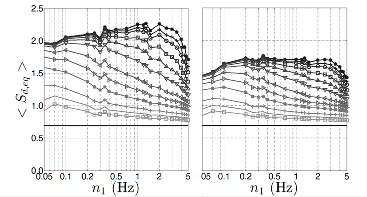
WP 4. The monitoring systems of three slender structures have been completed (Task L) (Fig 16). Dynamic analyses (Task M) pursue the creation of a triad of methods to determine the transient response based on real data: response spectrum (Fig 17), time domain simulations, and evolutionary power spectrum. The unique wind loading is separated into two loading conditions for cyclones and thunderstorms (Task N). Transient aerodynamics and possible aeroelastic effects has been analysed (Fig 19).
WP 5. The proposed techniques have being applied to structure test cases (Task O).
Objective III aims at supporting involvement of the scientific community collecting an open-website catalogue of thunderstorm outflows (WP 6) and organizing an International Advanced School (WP 7).
Notwithstanding the sudden and premature passing of the P.I. the research team of the project completed the main objectives of the project, furnishing unprecedented dataset of thunderstorm records open to worldwide scientists, developing original and coherent models of the thunderstorm downburst, proposing cutting edge procedure for evaluating the structural loading and response together with benchmark case history on full scale monitored structures.
Task A) An unique monitoring network developed for previous EU projects was enhanced by a top LiDAR scanner. Coupled with a meteorological RADAR, it is proposed as an asset to detect small scale wind events. Task B) Different events are separated by linking thunderstorm records with weather scenarios (Task F). Task C) The evolution of the wind speed profile during the thunderstorm event has been captured from LIDAR full-scale measurements, providing new insights on thunderstorm outflows dynamics. Task D) A scaling rule between laboratory and full-scale tests was developed. Large-scale downbursts have been generated experimentally to understand the strong non-linear interactions between the downdraft, cell translation and background flow. Task E) LES CFD simulations of thunderstorm downbursts have be calibrated by laboratory tests and allow to correctly interpret the development of the phenomenon and of the flow characteristics. Task H) A downburst model that takes into account the linear superposition of stationary downdraft, translation speed and background flow replicates actual events and allows to estimate the main parameters of downbursts. Task J) Distribution functions of the extreme wind speed and their parameters has been developed. Task K) The equivalent spectrum was embedded into a hybrid simulation to provide synthetic outflow fields. Task L) Full-scale monitoring of three slender structures has been completed, collecting simultaneous data of the outflow velocity and structural response. Task M) A comparison between response spectrum and time domain simulations showed close results despite the diversity of these techniques. Transient aerodynamic and possible aeroelastic effects have been analyzed by means of a new mathematical model. A a new vision of multidisciplinary wind science and engineering in educational field is foreseen.
FIG 13 RANS, URANS and LES simulations
FIG 12 Laboratory arrangements at the WindEEE Dome.
FIG 17 Equivalent response spectra for different damping ratios (0.002 and 0.01).
FIG 19 Alogwind and crosswind aeroelastic response of the Brâncuși Endless Column to a thunderstorm
FIG 14 Comparison between measured and simulated mean wind speeds and directions.
FIG 05 Consequences of the thunderstorm downburst occurred in the Port of Genoa on 31 August 1994
FIG 16 Monitored structures and simultaneous records of wind velocity, temperature and response
FIG 08 Windcube 400S pulsed LiDAR scanning system: picture and measurements.
FIG 10 Directional decomposition: slowly-varying mean wind speed and direction.
FIG 15 Extreme wind speed distributions in the ports of Livorno and La Spezia.
FIG 02 Wind monitoring network, three-axial and bi-axial ultrasonic anemometers, LiDAR profiler
FIG 11 Velocity profile and field as detected by means of a LiDAR profiler.
FIG 01 THUNDERR general plan after phasing out
FIG 03 Time-histories of the wind speed during a cyclone, a thunderstorm and an intermediate event
Il mio fascicolo 0 0