Skip to main content
Go to the home page of the European Commission (opens in new window)
English English
CORDIS - EU research results
CORDIS

Healthy Apples Research: Valuing Environmental Sustainability of Topsoil

Periodic Reporting for period 1 - HARVEST (Healthy Apples Research: Valuing Environmental Sustainability of Topsoil)

Reporting period: 2019-03-04 to 2021-03-03

The MSC-IF Action HARVEST; “Healthy Apples Research; Valuing Environmental Sustainability of Topsoil” aimed to improve soil health in food production systems and increase awareness of soil health within the food industry and farmers.
HARVEST specific objectives were:
SO1 - Test a novel agricultural management that integrate below and above ground ecosystem processes to improve soil health and enhance adaptation of apple orchards to climate change.
SO2 - Coordinate and advise crop sustainable production projects together with the Danone sustainability team SOCRATES (Sourcing Credibility at Every Step).
SO3 - Disseminate and communicate the importance of soil health to improve food production systems and contribute to Planet health.
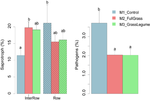
HARVEST assessed the effect of two experimental trials on apple orchards, and a managed grasslands, on the selected soil biological key performance indicators of soil health (e.g. microbial activity, soil fungal community) (SO1).The research trials in the apple orchards tested the effect of growing mixtures of grasses and legumes in the interrow space and decrease soil tillage in the tree row. The results showed that soil management that works towards minimizing disturbance in the tree row and the interrow space, improves soil health by enhancing soil biological functions. Specifically the results showed that not mowing the interrow space, and letting the natural plant community to grow, or cultivate mixtures of grasses and legumes, increased fungal saprotrophs in the interrow space and decreased fungal pathogens. This had a positive effect on soil biological processes because fungal saprotrophs are main decomposers of soil organic matter and therefore, higher abundance of saprotrophs is key to enhance carbon cycling in agricultural systems, increase nutrient mineralization and buildup stable soil organic matter.
Additionally, HARVEST assessed the role of soil fungal communities on climate change adaptation of managed conventional and organic grasslands. The results showed that organic managed grasslands had higher recovery to extreme climate change events, and the abundance of fungal saprotrophs in soil was essential to enhance adaptation to climate change.
The fellow (Laura B. Martinez-Garcia) widely contributed with the sustainability agenda of Danone (SO2). Specially, the fellow worked with the SOCRATES sustainability team on several sustainability projects aimed to implement regenerative agriculture practices in a variety of crops: carrots and apples (France and Poland), cereals (Spain), rice (Spain and Portugal) and strawberries (Spain).
During the duration of the project, special attention was given to increase awareness of farmers and industry on the importance of soil health and disseminate the objectives and results of the HARVEST research project (SO3). Thus, several soil health workshops were organized for the farmers that were involved in the HARVEST research trials and in other Danone Regenerative Agriculture projects. The fellow also organized a soil health workshop for the Suppliers Quality Team of Danone, and a fruit management innovation meeting that involved researchers from Wageningen University (WUR) and the Sustainability Team of Danone. The fellow also coordinated a specialized training course on laboratory methods to assess soil health (WUR). The fellow presented HARVEST in two international conferences, in two internal marketplaces in Danone, and to the Soil Biology Group (WUR). The fellow participated as an expert on a regenerative agriculture round table from the REFOOTURE project in WUR. Updates from HARVEST and topics related with soil health, were also communicated in mass media (LinkedIn, Twitter and Danone Workplace). An article about HARVEST was published in the CORDIS journal (https://cordis.europa.eu/article/id/422252-better-topsoil-for-more-sustainable-apples). The fellow wrote a report describing HARVEST context, selection of soil health key performance indicators, methodology, statistical analysis and conclusions. The fellow produced a HARVES Factsheet that included useful information about soil health, the results from HARVEST and recommendations for farmers and industry. Currently there are also two manuscripts in progress to submit to peer-review scientific journals. Finally, the fellow co-organized a workshop to present the Marie Curie Individual Fellowships and how to apply for them.
The novelty of HARVEST research is to identify sustainable managements that improve soil health, by looking to the impact of these managements on selected biological soil health indicators. Special attention was given to management that include growing mixtures of grasses and legumes (also called flower-strips). In the flower-strips, the flowers attract the natural predators of aboveground pests, decreasing the need of pesticides. However, so far it was not known the effect that flower-strips may have on soil biological processes in orchards. Investigating on an agricultural practice that simultaneously acts on above and below-ground natural processes to improve the quality of the farming system is key for leading agronomic research. This study proves that in productive systems, growing plant species mixtures improves soil health by increasing soil microbial, activity and widening the microbial catabolic profiles, as well as increasing abundance of saprotrophs.
The results form HARVEST have an impact in Danone Regenerative Agriculture strategy, that benefit from testing scientifically the effect of the applied management on soil health. This has an intrinsic value for the company since the results from HARVEST in orchards can be applied to other productive systems. Additionally, the soil scientific background of the fellow was very valuable to Danone to get expert advice on many running projects that tested sustainable agricultural practices in soil.
From the societal and environmental approach, HARVEST had a positive impact towards (1) contributing to solve global food crisis, and (2) contribute to improve adaptability of food production systems to climate change. These impacts align with the EU Agriculture and Green Deal goals.
1- To produce enough food for everyone it is necessary to transform agricultural systems towards a more sustainable management systems that simultaneously secure food quality and production, as well as respect natural resources. To achieve this transformation, it is necessary that all main actors of the food chain work together towards solving the global food crisis. The HARVEST consortium involved farmers and industry (Danone), the scientific community Wageningen University (Netherlands) and the Institute National de la Recherche Agronomique (France)This strong multi-stakeholder partnerships and the network established, can be beneficial for future and similar partnerships.
2 - Additionally, HARVEST also contributes to improve adaptability of food production systems to climate change. By applying management that enhance soil health, such as growing flower strips in the tree inter rows, and not ploughing the soil, several soil processes are activated, and as a result, there is more soil organic matter in the soil that provides better soil structure, better nutrient and carbon cycling, and higher carbon sequestration. All these traits are essential to improve adaptation as well as mitigation of climate change.
HARVEST Diagram
Soil microbial catabolic response to several carbon substrates from the Czech Republic orchard
Percentage of saprotrophs, and pathogens in soil samples from Gotheron orchard (FR)
. MSCA fellow Laura B. Martinez Garcia taking soil samples in an apple orchard in April 2019
My booklet 0 0