Skip to main content
Go to the home page of the European Commission (opens in new window)
English English
CORDIS - EU research results
CORDIS

Through the eye of a mosquito: theoretical modelling of vector-borne zoonotic pathogens

Periodic Reporting for period 1 - EpiEcoMod (Through the eye of a mosquito: theoretical modelling of vector-borne zoonotic pathogens)

Reporting period: 2021-01-01 to 2022-12-31

Vector-borne zoonotic pathogens, such as West Nile virus (WNV), pose a significant global health challenge with their distribution and incidence increasing due to global change. Understanding factors promoting or inhibiting spillovers to humans is crucial to limit outbreaks from zoonotic origin. Traditionally, the study of pathogens risk has focused on vertebrate hosts, neglecting the role of vector identity. Nevertheless, vector abundance and species distribution play a key role in determining the distribution and incidence of many vector-borne diseases, where mosquitoes are the most important vectors of medically significant pathogens. As such, variation between vectors in how they spread disease through the impacts on pathogen host range and effects on transmission rates, are key factors to consider in the control and surveillance of vector-borne infectious disease.

The overarching goal of EpiEcoMod was to quantify the risk of WNV invasion by explicitly considering the impact of variation between vector and host key-life history traits and environmental characteristics along a natural-rural-urban gradient. We investigated a multi-vector / multi-host system focused on the WNV, a zoonotic virus with a complex eco-epidemiology. WNV is maintained in a mosquito-bird transmission cycle, with humans and other mammals considered as incidental “dead-end” hosts (Fig. 1). Their recent unprecedented outbreaks, accompanied with growing cases of human morbidity and mortality during the last decade, has quickly prompted WNV as a major public health concern. By using a mathematical model based on multiple vector-host species, EpiEcoMod answered the key question “Are there key settings where it is crucial to target a specific type of mosquito for WNV control?”. This allowed us to gain insights into vector community parameters, uncovering the epidemiological basis of transmission patterns of WNV infection. Outcomes from EpiEcoMod contributes to generates scientific data that can be used to improve management strategies, resource allocation, efficiency in the labor of local public health authorities, thus saving money and time.
In EpiEcoMod we have quantified the risk of WNV invasion by the basic reproduction number, R0, as measure of the virus outbreak probability, in a multiple vectors and multiple hosts mathematical framework. We used a fine scale Susceptible-Exposed-Infectious-Recovered (SEIR) epidemiological model calibrated on field-data, parameterized by type-related factors of the Culex pipiens complex, the main vector of WNV in USA and Europe, such as abundances of the two ecotypes pipiens and molestus, and their hybrids, as well the differences in their feeding preferences and transmission rate of infection (Fig. 2 and 3). Besides, house sparrows (Passer domesticus) were included as amplifier hosts, and humans as dead-end hosts (i.e. they can get infected but cannot transmit the virus further) to account for wasted bites. The system of ordinary differential equations used will follow a notation similar to that of Keeling & Rohani 2011 (Modeling infectious diseases in humans and animals. Princeton university press).

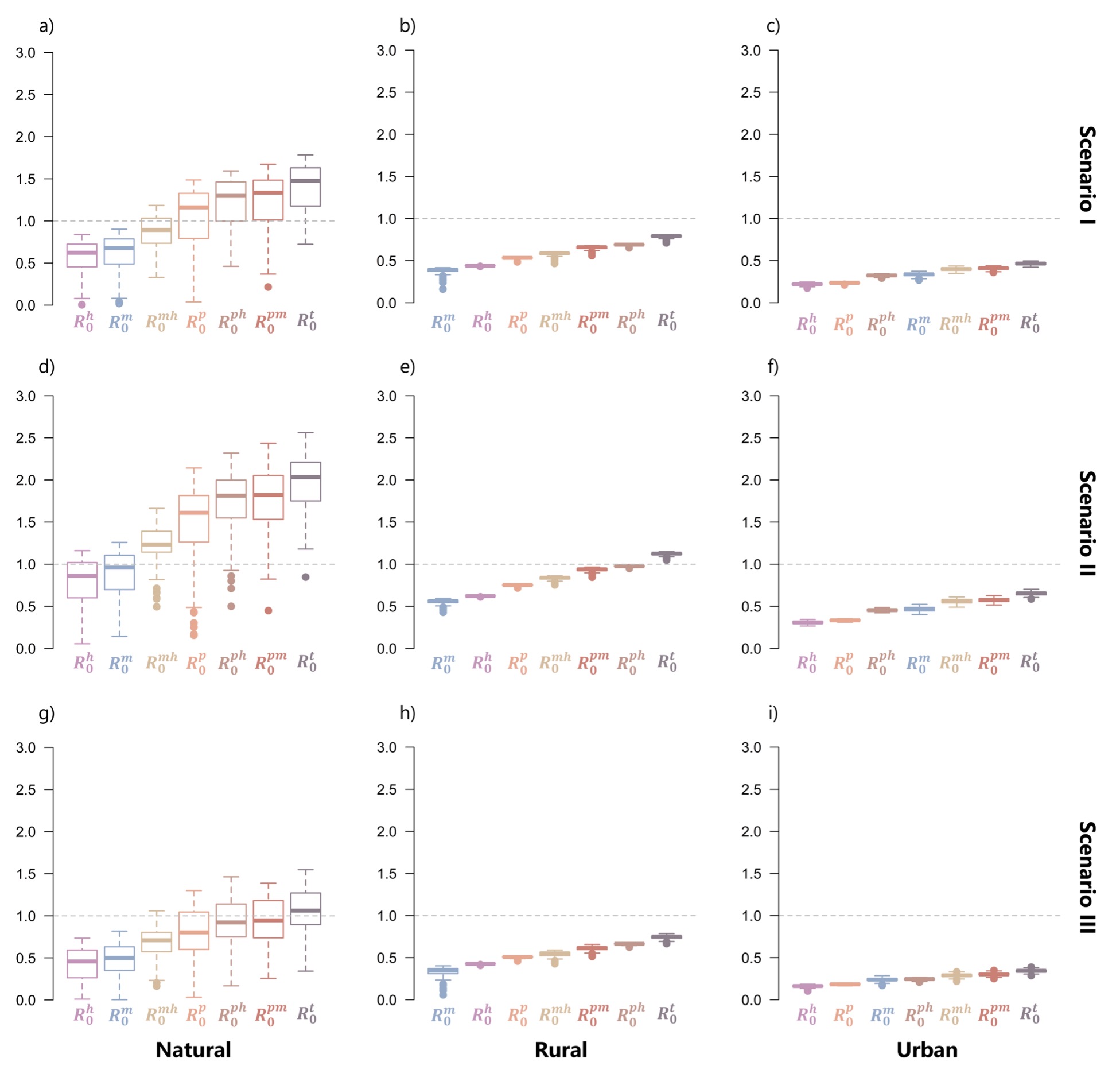
Results show that natural habitats were most vulnerable to West Nile Virus (WNV) invasion (Fig.4) with the pipiens mosquito species being the most responsible for virus transmission due to their feeding preference and transmission rates (Fig. 5). In urban environments, the molestus species was the primary driver of WNV spread. Hybrids had very little involvement in WNV transmission. Under a climate change scenario where mosquito populations increase (e.g. due to rising temperatures), rural habitats were invaded by WNV (Fig. 4). Work was conducted via 4 WPs that aimed to achieve scientific, training, and knowledge transfer goals, resulting in 10 journal articles and one book chapter. Results of my research were presented in a video poster, a poster, and a oral talk in two international congresses, and I was invited to present a lecture in the One Health PACT modelling seminar cycle. I believe that research dissemination and communication are critical to scientific understanding, so I put significant effort into communicating my research progress beyond the scientific community. According to Expertscape, I am internationally recognized as a top author publishing on WNV (https://expertscape.com/ex/west+nile+fever/c/es(opens in new window)) ranked in the top 3% of authors in this topic. I have participated in outreach activities such as Women and Girls in Science Day and Science is Wonderful events organized by the European Commission. In 2021, I was involved in a series of thematic videos on management plans against Aedes invasive mosquitoes for public health officers, entomologists, and citizens without experience with mosquitoes, which was recorded for the European AIMCOST Action. Additionally, I have published two blog posts on research careers and ecology of vector-borne diseases in the Blog of the Spanish Association of Terrestrial Ecology, and I talked about my EpiEcoMod project in a radio interview.
Mathematical models applied to vector-borne disease systems provide a means to accurately and quantitatively understand the transmission of mosquito-borne pathogens. The WNV is now considered to be one of the most widespread emerging zoonotic arboviruses worldwide. In EpiEcoMod, a novel mathematical modelling approach based on the Next Generation Matrix framework was developed to calculate R0 and provides essential information for understanding the complex eco-epidemiology of WNV in its mosquito vectors and natural bird reservoirs. This project stands out for considering vector identity in a mathematical framework, making a valuable contribution to the study of vector-borne diseases of zoonotic pathogens. This research is aligned with Europe's Key Research areas since 1985 and continues to be part of the United Nations Sustainable Development Goals and Targets, the 2030 Agenda for Sustainable Development, and the European Union's "Global Challenges."
The results obtained by EpiEcoMod have been confirmed as relevant by the recent outbreak of WNV in southern Spain. Approximately 50 municipalities in the Andalusia region of southern Spain are currently at a high risk of WNV transmission due to the presence of potential WNV vectors (https://www.juntadeandalucia.es/export/drupaljda/Municipios_%20riesgo_%20VNO.pdf(opens in new window)). This highlights the importance of research on vector-borne diseases and the need for predictive models, such as EpiEcoMod, to better understand and prevent future outbreaks. As such, the present MSCA project has made an important contribution to the local communities that suffered the outbreak in summer 2020.
EpiEcoMod's outreach activities have increased awareness of zoonotic diseases. The project will serve as a foundation for my future research on insect vector ecology and pathogen transmission where I will benefit of my expertise gained in theoretical application. Indeed, I won a 5-year "Ramón y Cajal" tenure track position in Spain to establish my research lab with a stabilization plan for a permanent position. Of course, reaching this outreach is the product of the work developed during all these years, and the Marie Curie at the UvA add a significant value to my CV, as this contract has been recognized as a significant achievement.
Figure 1. The life cycle of WNV. The primary transmission cycle takes place between mosquitoes and b
Figure 4. Contributions of each Culex mosquito composition to the risk of West Nile virus invasion (
Figure 2. Flow diagram for the multiple vector-host WNV model, with Cx. pip. pipiens (Np = Sp + Ep +
Complete Figure legend for figures from 1 to 5.
Figure 3. Schematic representation of the transmission pathways of WNV. The persistence of WNV depen
Figure 5. Elasticity of R0 to the lower-level parameters e(a) for the three studied habitats, a) nat
My booklet 0 0