Skip to main content
Przejdź do strony domowej Komisji Europejskiej (odnośnik otworzy się w nowym oknie)
polski polski
CORDIS - Wyniki badań wspieranych przez UE
CORDIS

Rotational effects on strongly gravitating systems with matter

Periodic Reporting for period 1 - REGMat (Rotational effects on strongly gravitating systems with matter)

Okres sprawozdawczy: 2015-10-01 do 2017-09-30

Black holes (BHs) are an essential prediction of general relativity (GR), one which was confirmed by the recent direct detections of gravitational waves from BH binary mergers. These objects exhibit the strongest gravitational fields in the universe, and therefore constitute ideal laboratories to test GR (or alternative gravity theories) in the strong field regime. As for the majority of astrophysical bodies, BHs are typically spinning. However, addressing rotation in GR is notoriously difficult. Moreover, BHs are dirty: they are accompanied by clouds of gas or accretion disks, which introduce deviations from known vacuum solutions. The complexity of the Einstein equations -taking into account the presence of matter and the rotation of spacetime- hampers attempts to model realistic BHs.

The prime goal of this project is to deepen our understanding of BH dynamics in the presence of matter, and in particular the interplay between matter and the rotation of spacetime. This line of research also intends to advance our knowledge regarding the stability of more realistic (non-vacuum, non-spherically symmetric) BHs, as well as on outstanding issues, such as cosmic censorship. The essential element of the approach that makes such study tractable is the consideration of matter concentrated along infinitely thin shells that, even though rotating, have a high degree of angular symmetry.

In addition, this program is naturally extended to higher dimensional asymptotically anti-de Sitter (AdS) spacetimes. In this context, our investigation of the dynamics of (rotating) AdS BHs is connected to (anisotropic) thermalization in strongly coupled quantum theories via the gauge/gravity duality. Moreover, the approach employing thin shells allows us to address the recently uncovered turbulent instability of AdS in a very clean -and easily solvable- setup. This clarifies the main mechanism supporting the instability toward black hole formation in AdS.
Gravitational collapse of thin shells in equal angular momenta spacetimes
I have conducted a comprehensive investigation of the collapse of rotating shells onto black holes, with a large set of tuneable parameters: the mass of the shell, its spin and radial velocity at infinity, the dimensionality of spacetime D, and equation-of-state parameters characterising the imperfect fluid that makes up the shell. An extensive scan of the parameter space has been performed for D=5,7,9,11 and with fluids described by a linear equation-of-state. For pressureless fluids, i.e. dust shells, that start off from rest at infinity our results do not show any violation of cosmic censorship during the collapse of such equal angular momenta thin shells: If the shell plunges past the (preexistent) horizon one always gets another black hole. The only way a (overspinning) naked singularity is formed is if standard energy conditions are violated by the matter. Not even endowing the shells with tension or with large radial boosts at infinity allows the formation of naked singularities.

Exploring regular sources for EAM black hole exteriors
I accomplished an explicit construction of rotating solutions of the 5D Einstein equations sourced by imperfect fluids, with constant energy density and with anisotropic pressures and heat flux. The construction employs a Kerr-Schild ansatz and the equal angular momenta assumption. The solutions are asymptotically de Sitter but matching them onto a vacuum rotating exterior (Myers-Perry geometry) faces some obstacles. Thus, the attempt fell short of producing satisfactory exact solutions for rotating anisotropic stars. It may be possible to make progress by dropping the Kerr-Schild ansatz but the equations of motion must be solved numerically in this case. This is currently under study.

Dynamics of gravitational collapse of multiple shells in confined spaces
This task goes beyond the scope of the original proposal but is closely related and uses similar techniques. The idea was to investigate the turbulent instability of AdS towards formation of a black hole with an extremely clean multiple-shell model, thus clarifying the physical mechanisms at play. This instability was recently discovered through investigations with a spherically symmetric scalar field. We have studied the evolution of a system of two concentric thin shells, interacting only gravitationally, in both a spherical reflecting cavity or in AdS. The results are encouraging, showing that this very simple model captures the essence of the problem of scalar field collapse in AdS. In particular, the two-shells model exhibits critical phenomena and chaotic behaviour, both of which are observed with scalar fields in AdS. This study confirms that the physical mechanism behind the instability toward black hole formation in AdS is the transfer of energy to shorter wavelength modes. Moreover, it also indicates how this cascade can be avoided, i.e. in what situations do small perturbations of AdS not lead to black hole formation.
The study of gravitational collapse beyond spherical symmetry has remained until now almost entirely unexplored with analytic methods. We developed a formalism to tackle this problem with rotating thin matter shells in higher odd spacetime dimensions and we have performed a comprehensive exploration of its parameter space.

Depending on the matter parameters and on initial conditions, the shell can bounce back to infinity, fall through the horizon and reemerge into a different asymptotically flat universe, or plunge into the singularity. In the latter case, when the resulting spacetime is overspinning one obtains a naked singularity. The impossibility of such a process was postulated more than 40 years ago by Penrose. This is known as the weak cosmic censorship conjecture and it remains an outstanding problem of classical GR in four spacetime dimensions to (dis)prove it, despite many attempts over the years. Most of these tests relied on approximations or perturbative schemes.

Our exploration of the parameter space of collapsing thin shells using exact methods and accounting for full backreaction represents therefore an important progress in the field. It shows that there are no significant differences between gravitational collapse in 5D or higher odd dimensions. Furthermore our findings support cosmic censorship: it does not seem possible to implode reasonable matter with rotation and directly form a naked singularity.

Regarding the dynamics of gravitationally interacting multiple thin shell systems, this was the first time that such evolutions were studied in confined spaces. The introduction of confinement, whether through imposing reflecting boundary conditions or formulating the problem in AdS, is crucial to force the shells to interact repeatedly when initial conditions do not yield immediate black hole formation. We have been able to reproduce many of the main features observed in the evolution of spherically symmetric massless scalar fields in AdS. Notably, the thin shells model and the scalar field in AdS system both exhibit critical phenomena with multiple critical points and show indications of chaotic behavior. But while the scalar field system requires considerably sophisticated numerical work, the thin shells model is easily solvable. It is expected that our simple model can clarify the much-debated issue of the genericness of initial data in AdS leading to black hole formation.
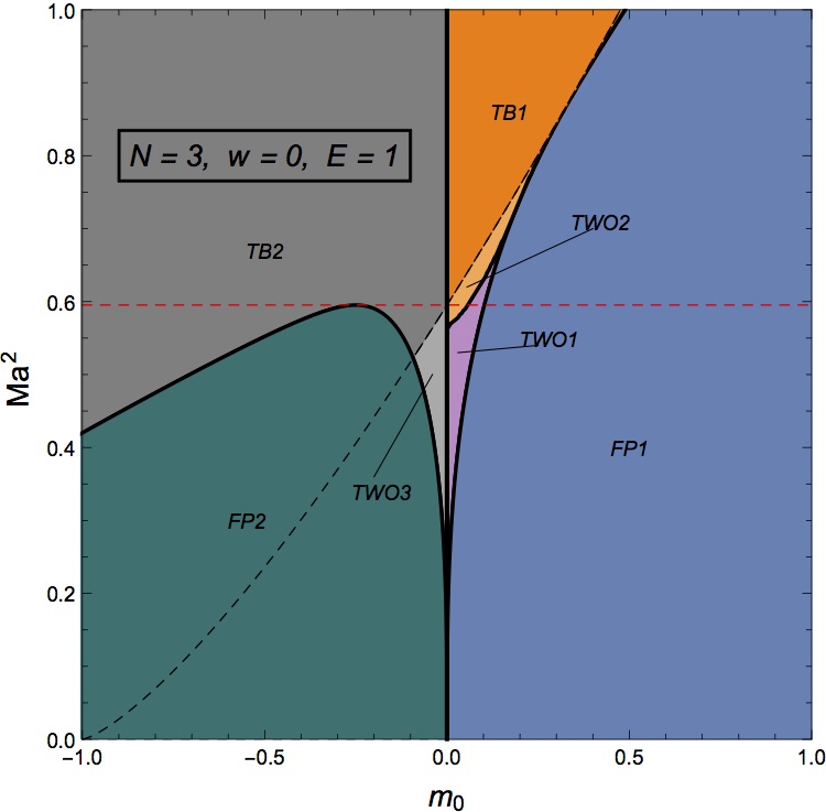
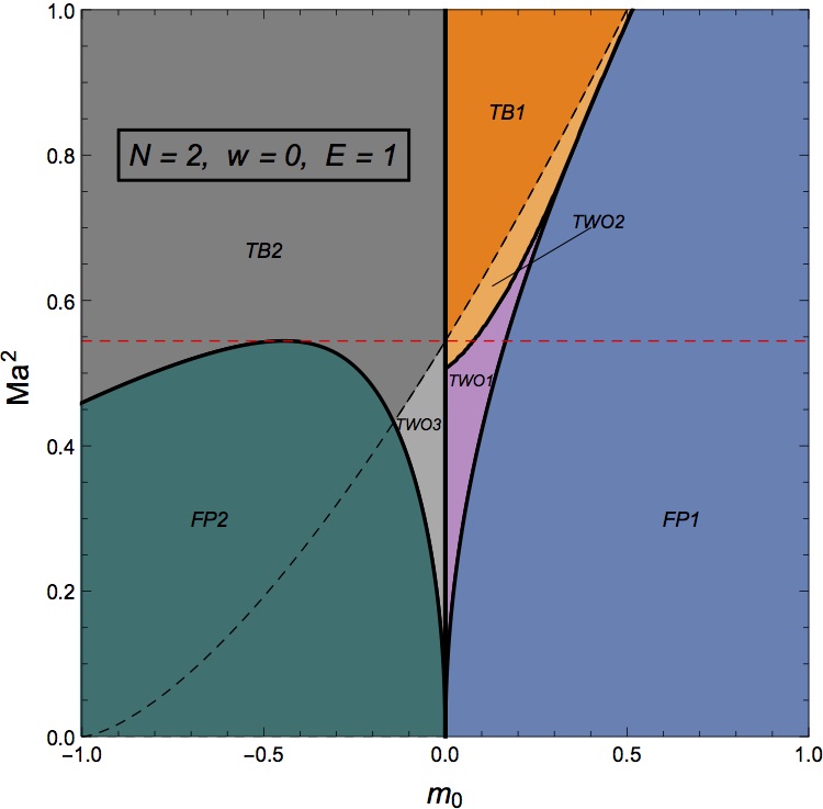
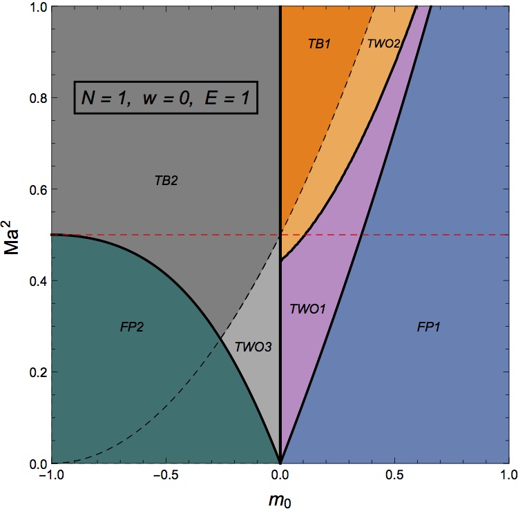
Parameter space describing plunges or bounces of rotating thin shells in 5 spacetime dimensions
Parameter space describing plunges or bounces of rotating thin shells in 11 spacetime dimensions
Parameter space describing plunges or bounces of rotating thin shells in 9 spacetime dimensions
Parameter space describing plunges or bounces of rotating thin shells in 7 spacetime dimensions
Collapsing thin shells in equal angular momenta spacetimes
Numerical evolution of a gravitationally interacting two-shell system
Moja broszura 0 0