Skip to main content
Przejdź do strony domowej Komisji Europejskiej (odnośnik otworzy się w nowym oknie)
polski polski
CORDIS - Wyniki badań wspieranych przez UE
CORDIS

Theoretical and observational consequences of the Geometrical Destabilization of Inflation

Periodic Reporting for period 4 - GEODESI (Theoretical and observational consequences of the Geometrical Destabilization of Inflation)

Okres sprawozdawczy: 2022-08-01 do 2024-08-31

The GEODESI project aims at interpreting current and forthcoming cosmological observations in a renewed theoretical framework about cosmological inflation, a primordial phase of the universe in which the latter expanded exponentially. The simplest toy models of inflation economically explain all current data, leaving no observational clue to guide theorists towards a finer physical understanding. In this context, the PI unveiled an hitherto unnoticed instability at play in the primordial universe that potentially affects all inflationary models and drastically modifies the interpretation of cosmological observations in terms of fundamental physics. The so-called Geometrical Destabilization of inflation reshuffles our understanding of the origin of structures in the universe and promises precision constraints on high-energy physics. It is crucial to develop this fresh look before a host of high-quality data from large-scale structure surveys and cosmic microwave background observations become available, providing accurate theoretical predictions for a wide variety of observables, including the spectra and the non-Gaussianities of primordial fluctuations and stochastic backgrounds of gravitational waves.
We determined the fate of the geometrical destabilization of inflation, reaching the conclusion that this phenomenon does not end inflation, but that the latter continues in an unusual manner. We studied this so-called sidetracked phase of inflation in detail, including the properties of the primordial density fluctuations it generates. From this, new types of inflationary attractors with strongly non-geodesic motion in field space have been identified: they allow to inflate on steep potentials, they offer interesting prospects for embedding inflation in realistic high-energy physics theories, and leave peculiar observational imprints, like unusual, flattened-type, deviations from Gaussianity of the statistics of primordial fluctuations. We showed that the departure of inflation from an exact de Sitter phase, as well as Planck-suppressed derivative operators, play a decisive role in (de)stabilizing the Higgs during inflation. Using methods from nonequilibrium quantum field theory, we derived for the first time a manifestly covariant general theory of multifield stochastic inflation.

We gave a new insight into the question of the non-Gaussianities generated from realistic models of inflation with multiple degrees of freedom by generalizing Maldacena’s computation to such setups, highlighting the observable effects that derive from a curved field space. We developed the cosmological flow framework that enables one to systematically compute tree-level cosmological correlators in all theories of the early-universe, following their time evolution from their origin as quantum zero-point fluctuations throughout the primordial universe with our code CosmoFlow (https://github.com/deniswerth/CosmoFlow(odnośnik otworzy się w nowym oknie)). We extensively studied the physics of the cosmological collider in realistic situations including multiple fields, different sound speeds, features and strong mixing, each time identifying new observational signatures. We used bootstrap techniques to find exact analytical solutions for primordial correlators in theories that break de Sitter boost symmetry and involve the exchange of a massive field. From this, we identified a novel discovery channel to detect new physics during inflation, called the cosmological low-speed collider signal. It is characterised by a distinctive resonance in non-Gaussian correlators that indicates the presence of a heavy particle and that enables one to reconstruct its mass, and we studies in detail its properties, notably at strong mixing and in the presence of parity violation. Using semi-classical methods, we made the first non-perturbative computation of the wavefunction of the universe, showing that even minute oscillations in the inflaton potential give exponentially large effects on rare events in the tail of the distribution.

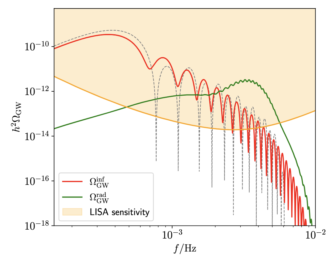
We suggested a new, top-down motivated and model-independent mechanism to generate primordial black holes that is specific to multifield dynamics and offers interesting observational prospects. We showed how features of the density power spectrum manifest themselves as specific oscillatory patterns in the frequency profile of the scalar-induced stochastic gravitational wave background, offering a new probe of inflation on small scales and motivating new target signals for gravitational wave observatories. More generally, we studied signatures of the dark era of inflation in the stochastic gravitational wave background from particle production, excited states, resonant features, non-standard thermal history after inflation, dark matter isocurvature, primordial non-Gaussianity, and assessed the corresponding potential of discovery with the ESA mission LISA, also highlighting the importance of the phenomenon of infrared rescattering. After having shown the breakdown of perturbation theory in some of these models, we developed the first simulations of inflation with enhanced perturbations resulting from a departure from slow-roll, revealing an inflationary butterfly effect where small-scale quantum physical processes drastically alter the evolution of the entire Universe.
We identified inflationary attractors with strongly non-geodesic motion that offer new ways of embedding inflation in high-energy physics theories and leave interesting observational signatures. We also underlined the natural appearance of unusual effective field theories characterized by transient instabilities. We proposed a new top-down motivated mechanism to generate primordial black holes that is specific to multifield scenarios. We unveiled the potential of the stochastic gravitational wave background to probe small-scale primordial features, offering a precious new probe of physics beyond vanilla inflationary models that is now incorporated in the LISA mission. Our derivation of a general theory of stochastic inflation solves important conceptual problems and allows one to determine quantum diffusion effects in models of inflation with curved field space. Our work on the cosmological flow lay the foundation for a universal program to assist our theoretical understanding of inflationary physics and generate theoretical data for an unbiased interpretation of upcoming cosmological observations, in particular for the cosmological collider physics for which we obtained many results beyond the state of the art. This is also the case of our bootstrap analysis in theories that break de Sitter boosts, in which we used unusual non-local effective theories and discovered the low-speed collider signal. Our first non-perturbative computation of the wavefunction of the universe goes well beyond the state of the art and offers new perspectives on the ultraviolet sensitivity of inflation and the observational search for non-Gaussianity. Eventually, we showed the power of simulations in the exploration of inflation, notably in regimes relevant for gravitational-wave astronomy and primordial black hole production.
Schematic representation of the cosmological flow approach
Features from inflation in the spectrum of the gravitational wave background
Illustration of the possibilities offered by the code CosmoFlow
Illustration of the inflationary butterfly effect
Schematic illustration of the low-speed collider
Moja broszura 0 0