Skip to main content
Przejdź do strony domowej Komisji Europejskiej (odnośnik otworzy się w nowym oknie)
polski polski
CORDIS - Wyniki badań wspieranych przez UE
CORDIS

Competition, time pressure, public speaking and multitasking: The role of willingness and ability to cope with pressure in explaining individual differences and inequality in career outcomes

Periodic Reporting for period 4 - CTSM (Competition, time pressure, public speaking and multitasking: The role of willingness and ability to cope with pressure in explaining individual differences and inequality in career outcomes)

Okres sprawozdawczy: 2024-06-01 do 2024-11-30

Deciding what to study and which career path to pursue are among the most important choices we make in life. These decisions not only shape individual outcomes such as income and educational attainment, but also help explain broader differences across gender and socioeconomic groups.

To better understand how and why these choices vary from person to person, our research project incorporated insights from personality psychology into economics. We focused on four traits that we believed could play an important role in shaping careers:

1. Willingness to compete
2. Willingness to work under time pressure
3. Public speaking aversion
4. Ability and willingness to multitask

Competition, time pressure, public speaking, and multitasking frequently arise in prestigious careers. We therefore hypothesized that a person’s comfort with these pressures — and their ability to deal with them — could influence both the career paths they choose and the success they achieve.

Our research progressed in three main steps. First, we used behavioral experiments with real monetary incentives to demonstrate the economic importance of people’s reactions to the four sources of pressure. Our results show that many people are indeed willing to leave money on the table to avoid competing, working under time pressure, speaking in public, or working in distracting environments. But also that this varies strongly from person to person. Second, we developed new questionnaires to measure these individual differences in large-scale surveys. Finally, we collected extensive survey data linking the four traits to various career choices and labor market outcomes.

Our results indicate that being willing and able to compete, work under time pressure, speak in public, and work in the presence of distractions have a clear impact on people’s career trajectories and success in the labor market.
Willingness to compete:

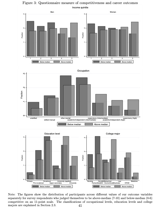
Many experimental studies had already shown that some people are strongly attracted to competitive environments while others are averse to them, essentially being willing to leave money on the table to avoid competing. We took this literature out of the lab by developing new ways of measuring willingness to compete in large-scale survey panels. We show that willingness to compete is a strong and consistent predictor of income, occupation, completed level of education and field of study in representative survey data. For most outcomes, the predictive power of competitiveness exceeds that of other skills and personality traits. Differences in competitiveness between women and men explain 5-10 percent of gender differences in education and labor market outcomes.


Public speaking aversion:

Studies in psychology have robustly shown that fear of public speaking is extremely common, but we knew little about the economic implications for individuals and organizations. Using lab and classroom experiments, we show that preferences for speaking in public vary strongly across individuals, with many participants willing to give up significant amounts of money to avoid giving a short presentation in front of an audience. We used the experimental data to validate self-reported survey items to elicit public speaking aversion in large-scale surveys. In a survey of business and economics students, we show that public speaking aversion predicts career expectations: public speaking averse individuals avoid careers in management consulting and are more attracted to data analyst and back-office careers. We also elicited our public speaking aversion measures in a large survey panel that is representative of the Dutch population. In future research, we will use this data to document the correlation between public speaking preferences and career outcomes, and compare the strength of this relationship to that of other influential skills and personality traits.


Willingness to work under time pressure:

Many professional and educational settings require people to work under time pressure. People who are averse to this might choose a more relaxed but less lucrative career path. In a lab experiment, we measured how much extra payment participants would need to complete a cognitive task under varying levels of time pressure rather than with no pressure. We show that participants generally dislike working under time pressure but that there is substantial variation in this dislike across individuals. Simple survey questions can capture much of this variation. In our survey data covering bachelor students and the general Dutch population, individual differences in time-pressure aversion strongly predict career choices and labor market success.


Ability and willingness to multitask:

Many modern careers and work environments are characterized by the need to multitask due to constant interruptions and the need to juggle between several concurrent tasks. The ability and willingness to do so – as well as the ability to block out distractions and concentrate on core tasks in general – might be crucial for success in high-pressure, high-reward careers. Using an incentivized lab experiment, we studied the effects of distractions on performance and mental well-being, elicited willingness to pay to avoid distractions, and validated questionnaire items on resilience to distractions. We obtained four main results. First, distractions and multitasking are detrimental for people’s mental well-being. Second, many people are willing to pay to eliminate distractions. Third, individual differences in the impact of distractions on mental wellbeing can be captured by questionnaire items. And fourth, resilience to distractions strongly predicts income and job satisfaction in representative survey data.
Our research has established several new and economically relevant behavioral phenomena.

People are – on aggregate – strongly averse to speaking in public and willing to forgo substantial amounts of money to avoid speaking in front of others. The extent of public speaking aversion varies across individuals and those who are averse to speaking in public adapt their career plans accordingly.

Willingness to compete varies strongly across individuals at all ages and predicts income, occupation and educational attainment. Willingness to compete is a better predictor of income and occupation than most other personality traits or economic preferences economists have typically been interested in. This includes risk preferences – which economists have studied extensively but which we find are less useful for explaining labor market outcomes.

The average individual is averse to time pressure and willing to leave money on the table to avoid working under pressure. This result is relevant for management science and practice – in particular the design of optimal remuneration schemes and the allocation of tasks across employees – but also sheds light on people’s career paths: we find that people who are willing to work under time pressure sort into higher paid occupations and earn more money within the same occupation.

Multitasking and working under distraction have a negative impact on mental wellbeing, but this impact varies across people. Those who are more resilient do better in the labor market and report higher job satisfaction.
public-speaking.jpg
time-pressure.jpg
competition.jpg
Moja broszura 0 0